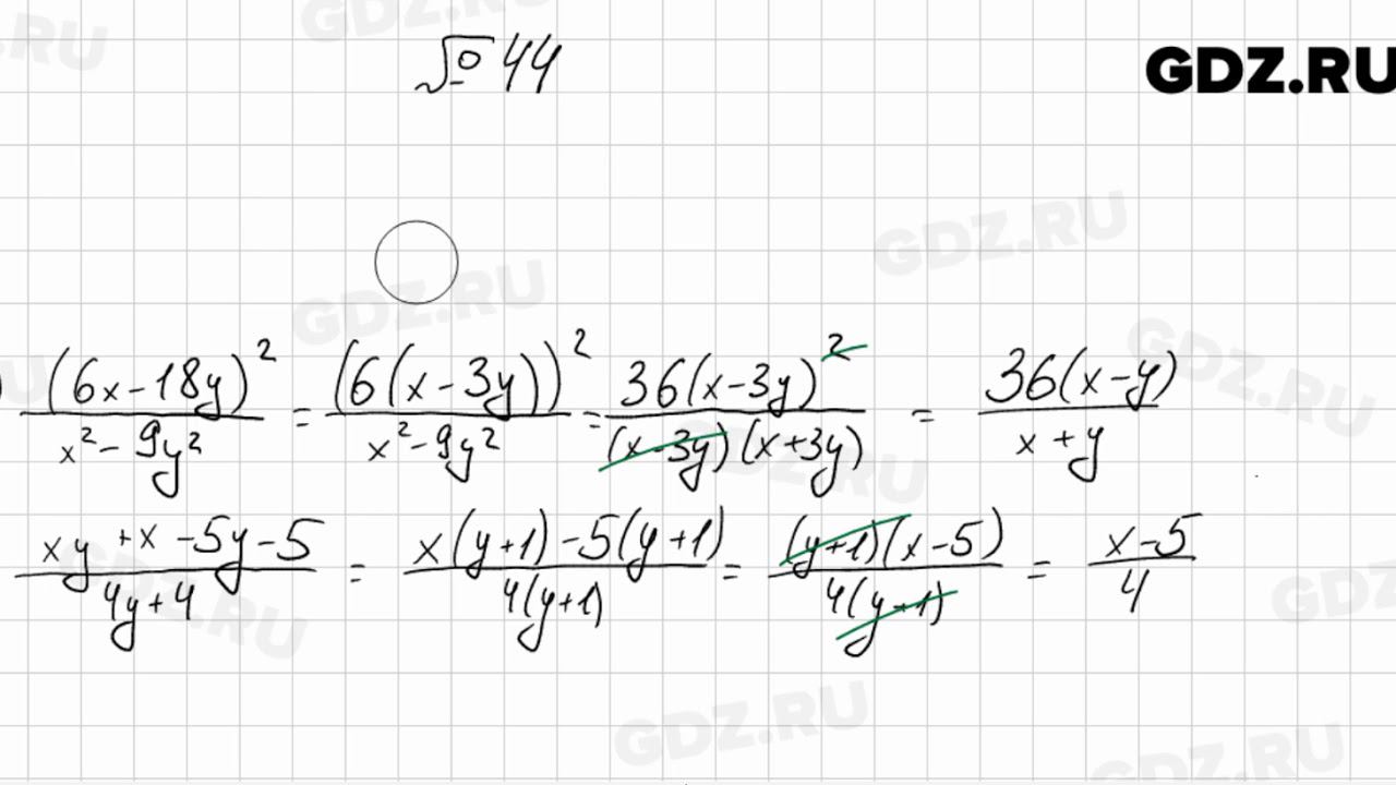
Алгебра 8 класс мерзляк номер 35
Картинки С Движением С Доброе Утро
Белый Мрамор Фото
Как обработать арки автомобиля
Читательский дневник три медведя толстой краткое содержание
Абрикосы варенье с ядрышками
Honda cr v 4 2.4
Вот это ты играешь
Включите 5 гонка
Лукойл вагит
Погода на 3 4 августа 2025
There was an application error
Объект это процесс или явление
Остров курорт вьетнама
Алгебра 8 класс мерзляк номер 35 117 фото


















































































































