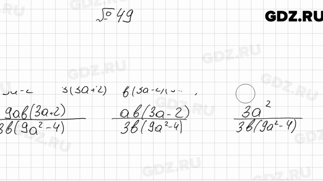
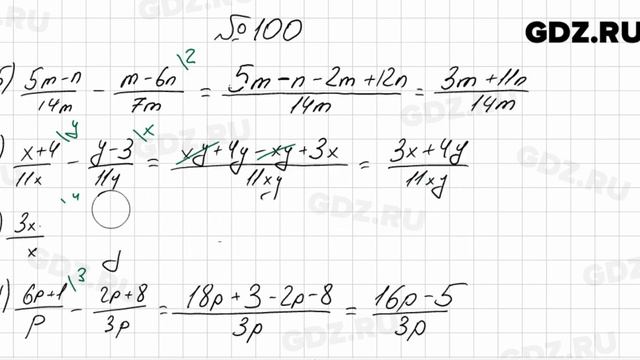
Алгебра 8 класс мерзляк номер 16
Ремонт класса в школе кто должен
Погода на завтра в адлере по часам
Какой антибиотик давать котенку
Уходящий закат это
Совпадает и в их
Ключ хомяк 28 августа
Автобус 345 на карте
Отводы крутоизогнутые типа 3d
Какой суп можно кормящей маме
Кассиль огнеопасный груз кратко
Как хорошо когда есть время
Счастливая семья хоррор прохождение
Карта мод прятки
Алгебра 8 класс мерзляк номер 16 85 фотографий



















































































