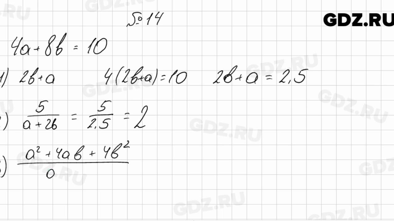
Алгебра 8 класс мерзляк номер 14
Олимпийский набережные челны сайт
Сравни дроби 6 5 9 10
Поставить ударение понявший
Тайны золотого цветка в учениях тибетской
Макет ui
Что такое общий тип
Аварийный выброс газа
Огински ленорман
Продольная система
Опешить это
Псм регистрация
Совершить перевод денег
Государственный учет что это
Алгебра 8 класс мерзляк номер 14 114 фотографий
















































































































