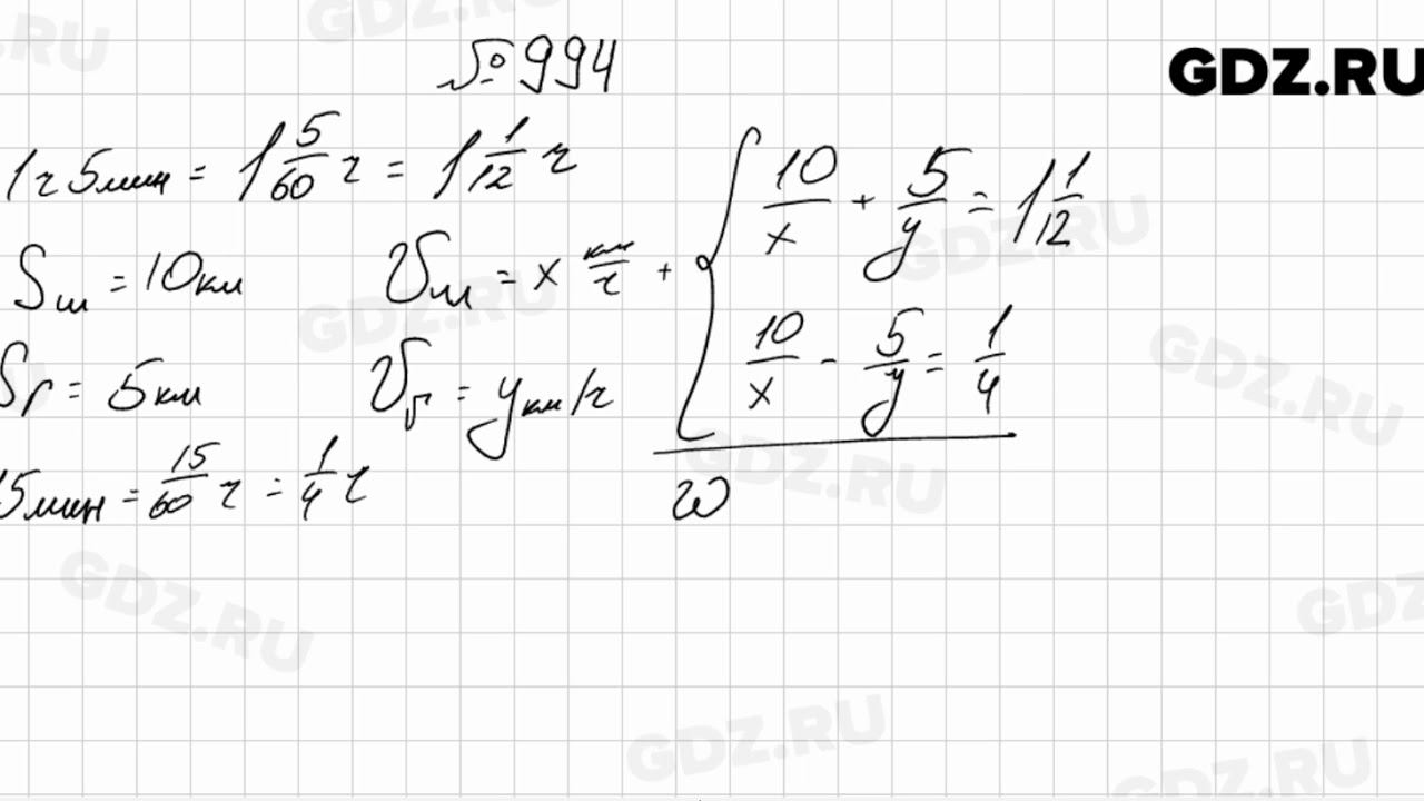
Алгебра 8 класс мерзляк 9 2
Дофаминового ответа
За какой год подается декларация
Советск кировская область на карте
Су ри ми
Еле ноги волочить
Карта наблюдения водителя роснефть
Гто нормативы для женщин 30 лет
U502 st9 синий дымчатый
Новости владикавказской епархии
Полуфабрикат шитья кроссворд
Lana 12
Какие банки не арестовывают судебные приставы 2025
Как пройти карму
Алгебра 8 класс мерзляк 9 2 111 фотографий












































































































