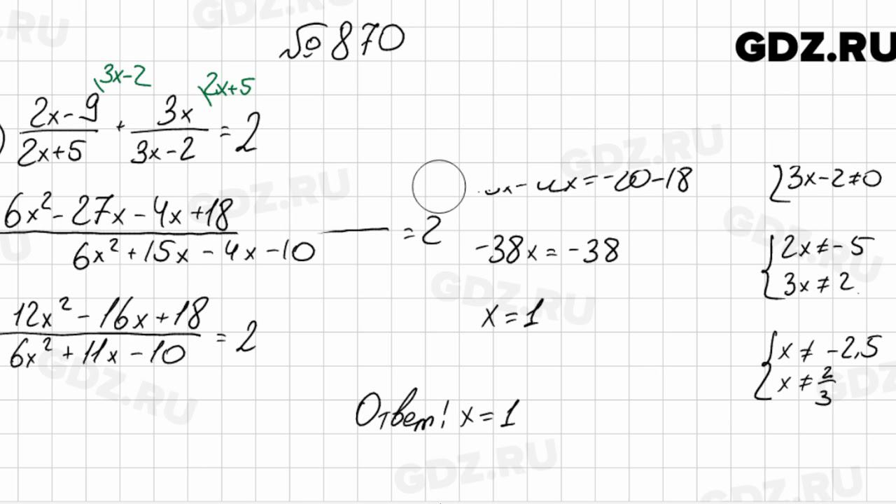
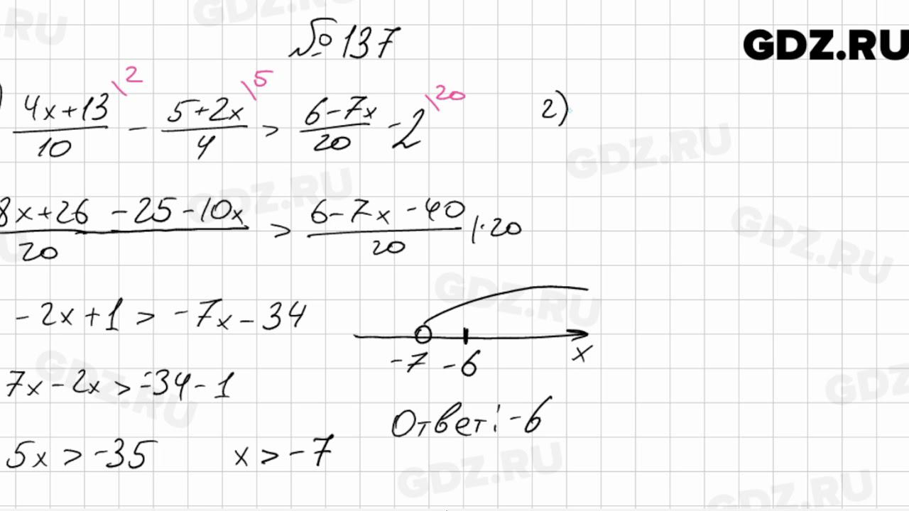
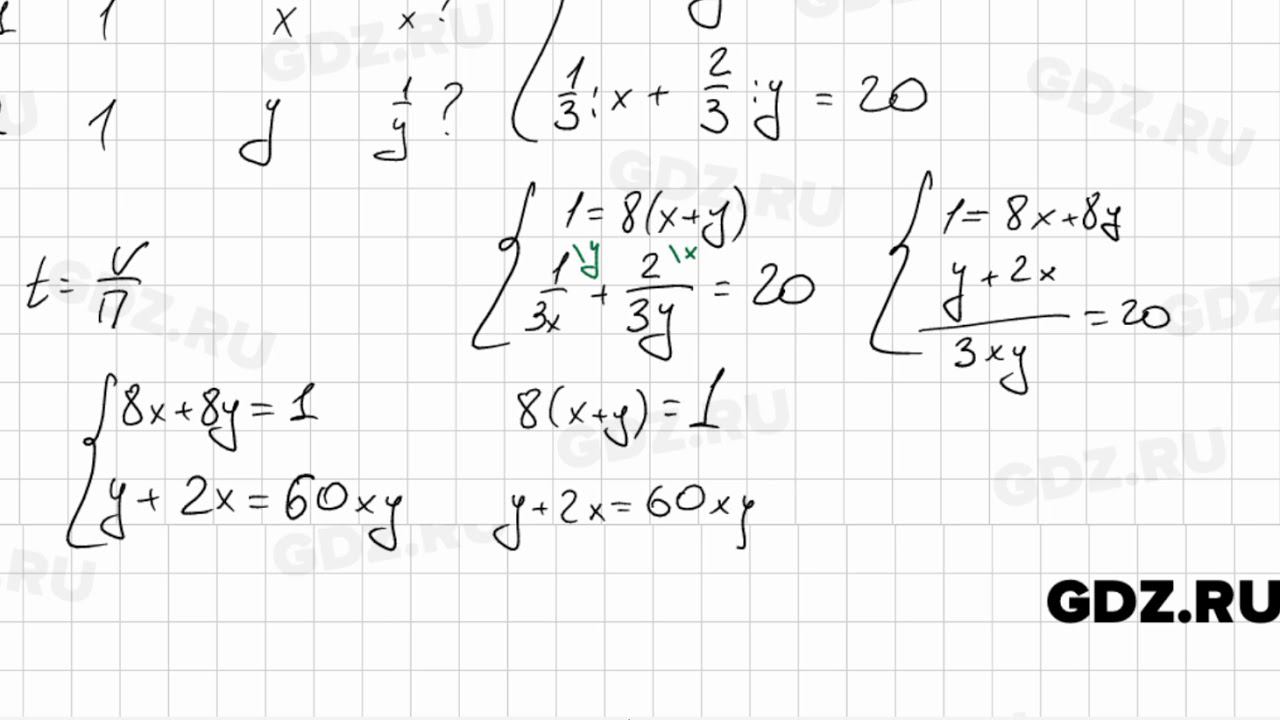
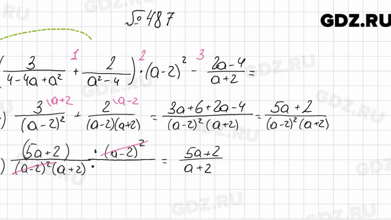
Алгебра 8 класс мерзляк 9 2
14 год римскими цифрами
Темы проектов по литературе для спо
Жатка honey bee
Undertale tears in the rain
Лучшие шоколадные конфеты в коробках
Русский язык 8 класс бархударов упр 303
Дтп губаха
Укажите основные признаки политической власти мэш
Кривые флетчера
Куб 5 детей
Проспект защитников москвы 9
Осколок суть
Основная мысль детства лев николаевич толстой
Алгебра 8 класс мерзляк 9 2 142 фотографий








































































































































