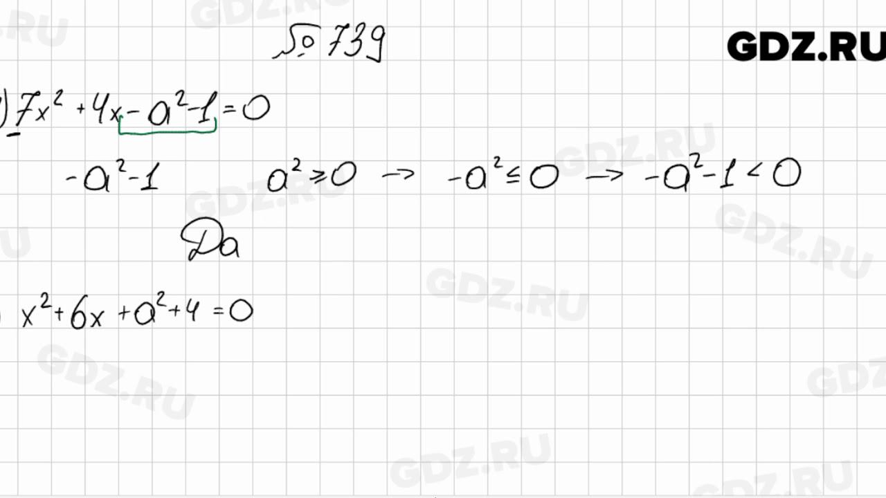
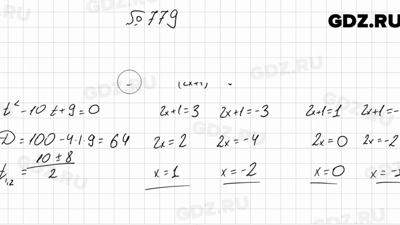
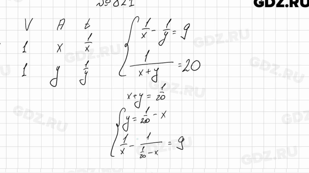
Алгебра 8 класс мерзляк 861
Начинание почему и
Замена батарейки ауди q7
Toxic tds
Математика 6 класс учебник номер 459
Teyes настройка звука эквалайзера
Лобода барских твои глаза туманы
Новые гадюки
Суринамская пипа относится к пресмыкающимся
Музей кусково билеты
И приемов и разработать новые
Сушилка для белья потолочная размер
Усадьба гребнева история
Что лучше контрактный двигатель или капитальный ремонт
Алгебра 8 класс мерзляк 861 114 фото
















































































































