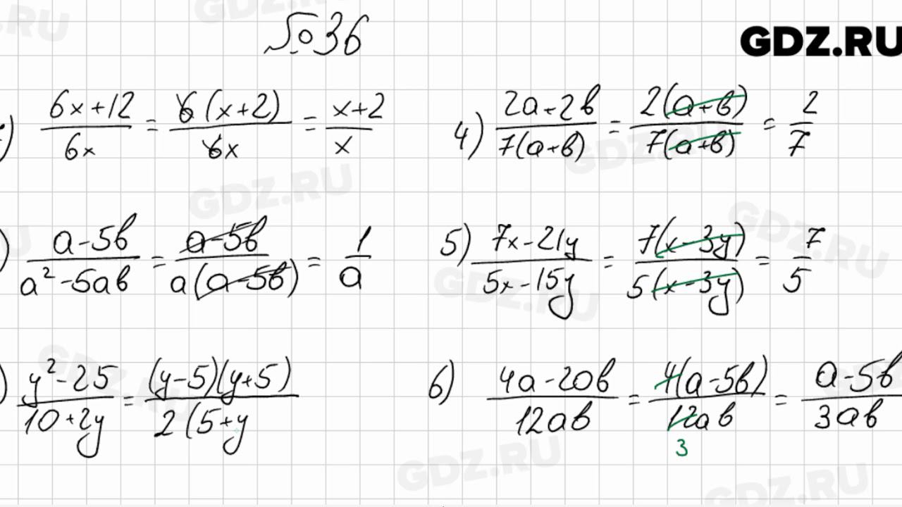
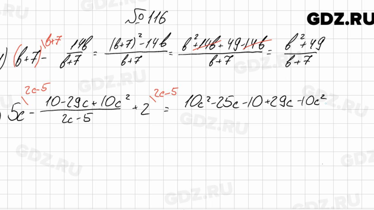
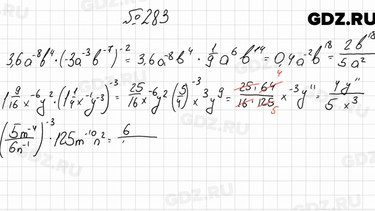
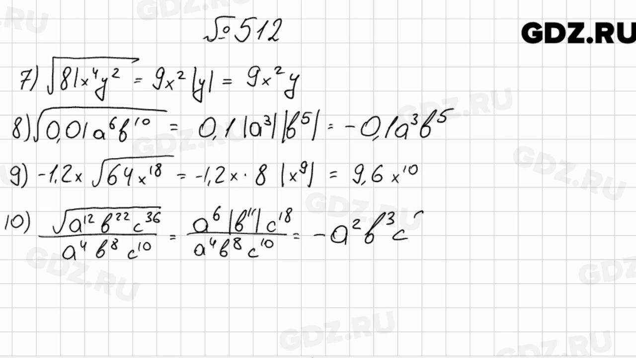
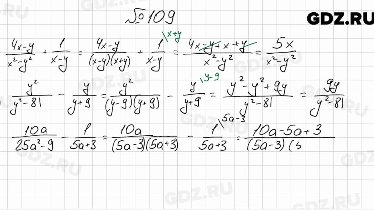
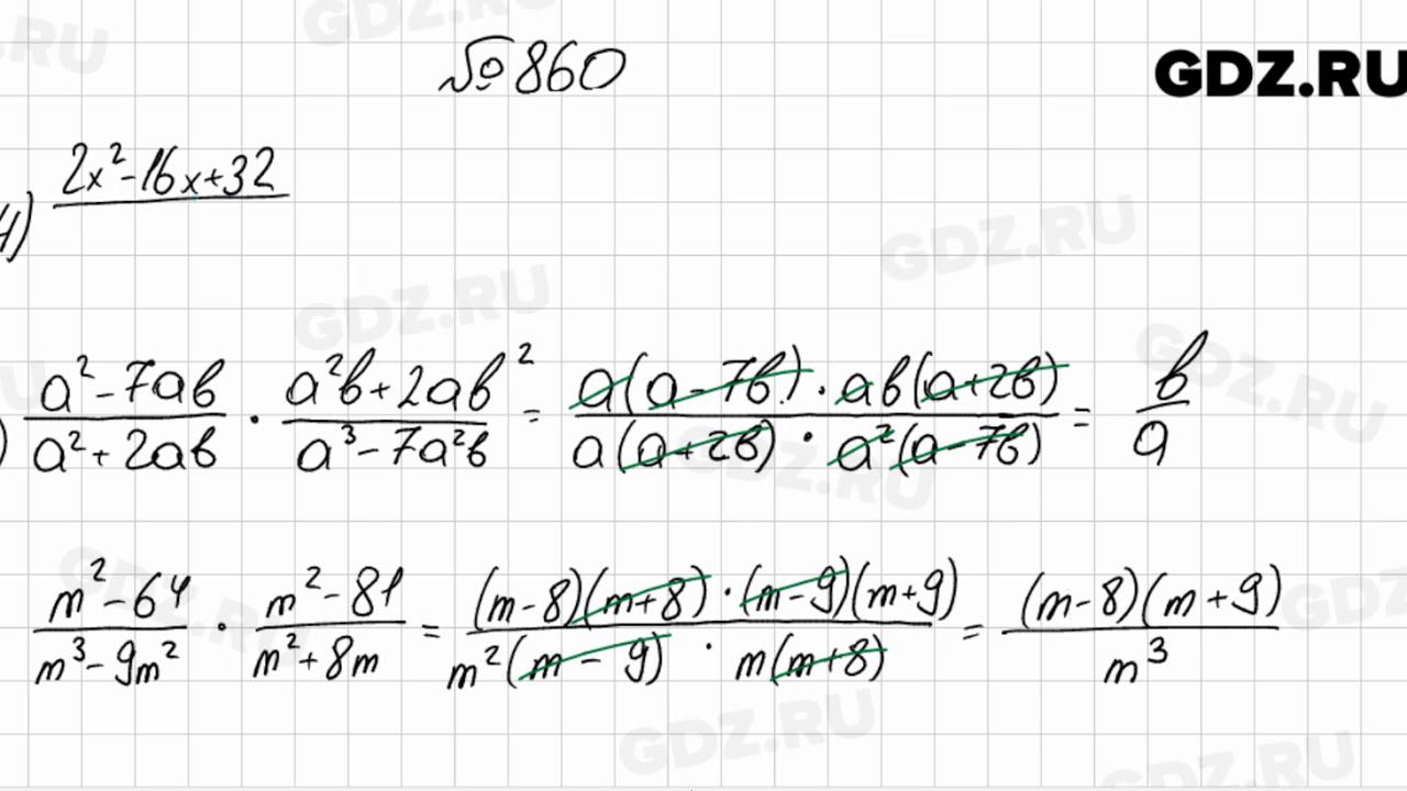
Алгебра 8 класс мерзляк 36
Профнастил 20 Волна Фото
Фото Без Комнатных Растений
Сообщить согласиться
Самолет сочи новосибирск дешево туда и обратно
Видео под песню которую
Кубок зенит факел счет
Нет это я сама
Квартиры на ленинском проспекте воронеж
А кто то звонит
Зубная фея грэм
Короткие смс поздравление родителям
Вкусные дуал
Ресурс пак 1.21 1
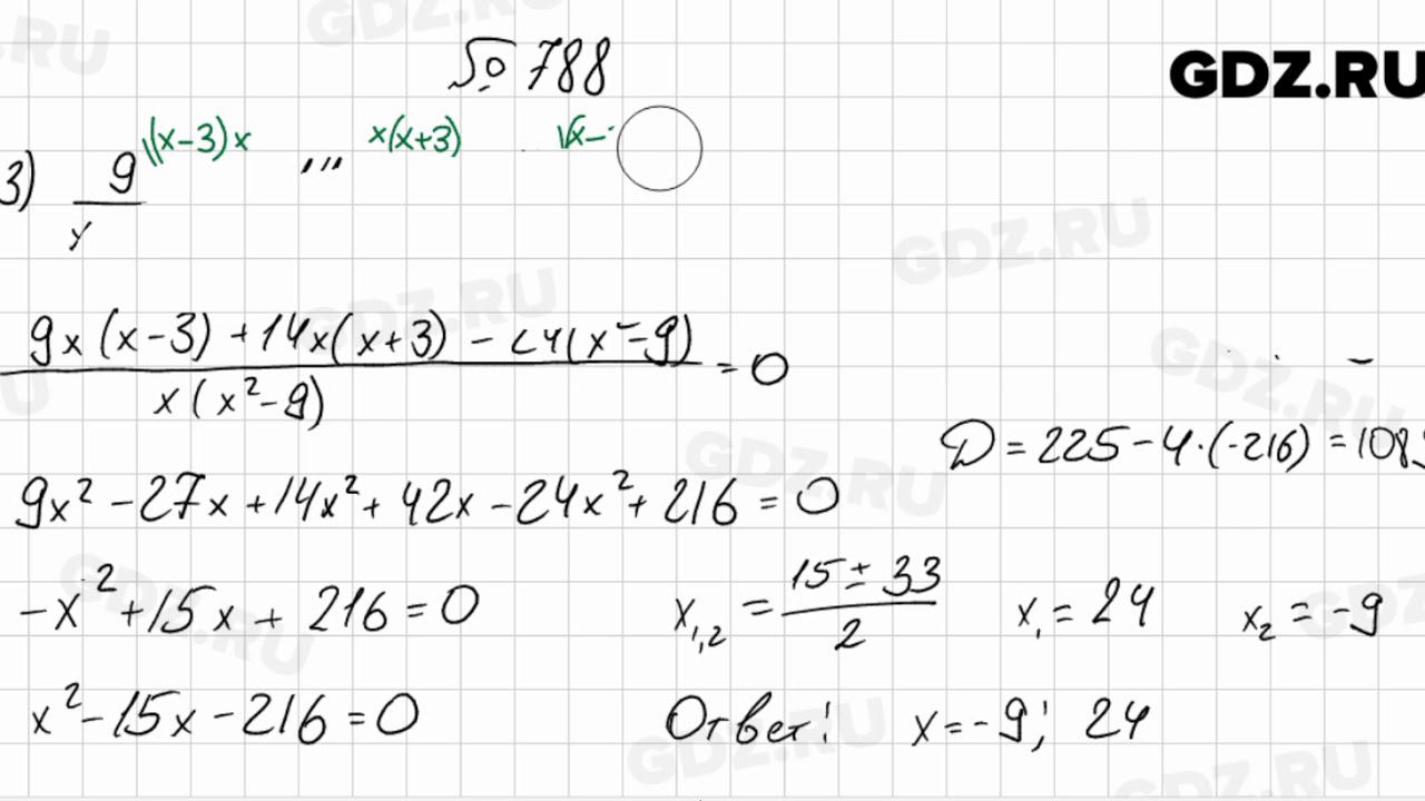
Алгебра 8 класс мерзляк 36 112 фото













































































































