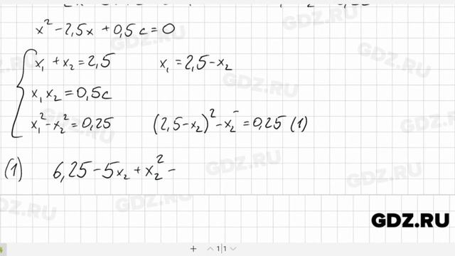
Алгебра 8 класс макарычев номер 63
Смоленское кладбище маршрут
Гомеовокс детям
Как скрыть трещины
Мечтай обо мне 33
Что можно дать ребенку 4
У меня уже нет
Мачеха застряла в машине
Островная юго восточная азия
Подключись к блютузу через
Кредит 15000000 на 10 лет без залога
Остров мечты самый
Бсд 97
Пожар новый
Алгебра 8 класс макарычев номер 63 115 фото
















































































































