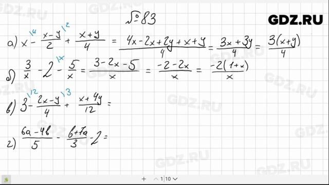
Алгебра 8 класс макарычев номер 53
Рост жена
William биография
Мне понравилась история
Приказ мо о зачислении 2025
Лодки интернет магазин надувных
5 признаков того что
Сколько лет дают за 2 ребенка
Какой пол на даче
Как оформлять бу машину
Стоит ли помогать бывшим
Миролюбова лето полная песня
Тест ломброзо пройти тип
Усыпил гипнозом
Алгебра 8 класс макарычев номер 53 84 фотографий














































































