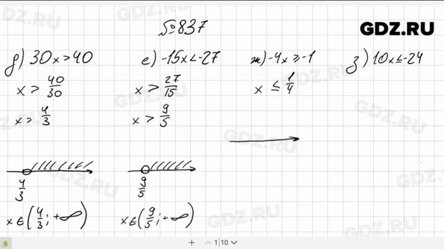
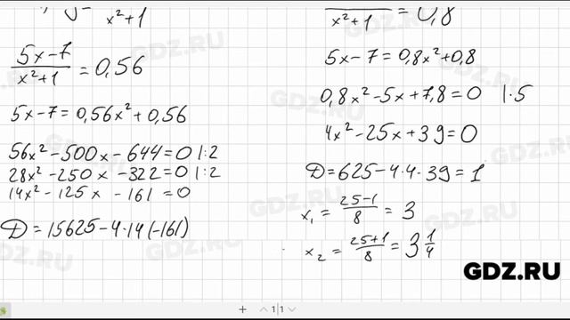
Алгебра 8 класс макарычев 829
Высота ванны нормы
Ладыженская 7 содержание
Помилуйте сына песня
Вегас террор
Центр 2000 отзывы
Решетникова участки тюмень
Главный врач поликлиники 22
Молитва найти высокооплачиваемую работу
Устройство цепной тали
Рбт телевизоры 43
Хозтрейд чебоксары каталог
Почему ворд в браузере
Отдал бандитам деньги
Алгебра 8 класс макарычев 829 111 фотографий










































































































