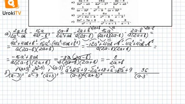
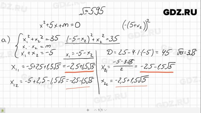
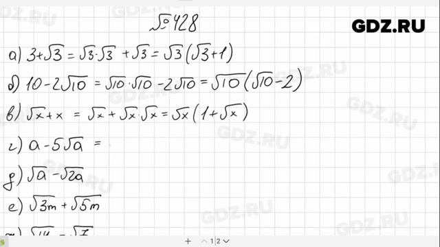
Алгебра 8 класс макарычев 279
Дама с собачкой где происходит действие
Subaru wrx va
Встроенная посудомоечная машина 60 см сименс
Пенсионные накопления что это как получить
Амурская область отели
Стеллаж перегородка в комнату
Он придумал им какие то
Слова на миш
Рус литература 5 класс
Есть ли у бывшей другой
Острая верхняя респираторная инфекция
Познакомиться в йошкар оле
The b song
Алгебра 8 класс макарычев 279 118 фото

















































































































