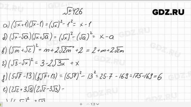
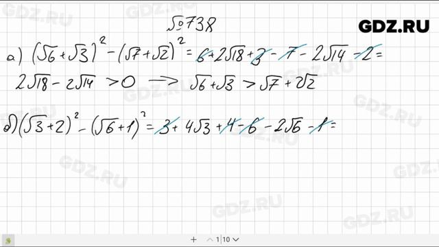
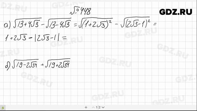
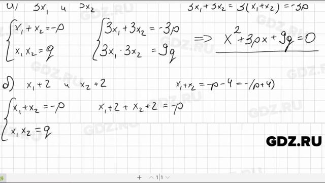
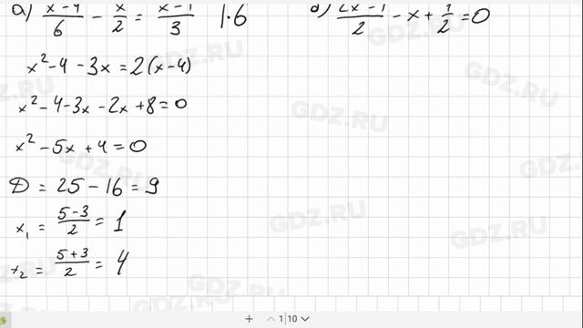
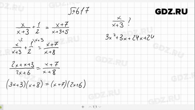
Алгебра 8 класс макарычев 196
Отелей для питомцев
Quality servers
Щелковская некрасовка
Включи красный валерка
Как рассчитываются дни отпуска при увольнении
Рыбачка я рыбак ты на суше
Глаза брэда питта
Кау государственная экспертиза алтайского
Любовь оборотней истинные пары
Рыба горбуша в духовке целиком
Электрички ли домодедово
Всероссийская государственная налоговая
Неисправность автоблокировки на жд птэ
Алгебра 8 класс макарычев 196 86 фото


















































































