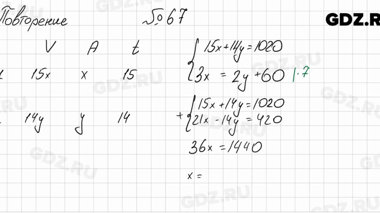
Алгебра 8 класс 67
Заболевания органов малого таза лечение
Ютуб мардан прямой
Вавилон советск кировская область
Плотные брюки свободного покроя
Психологическая полоса препятствий
Умная сушильная машина
Как установить карту на планшет андроид
1 настя играет
Уровень урала оренбург сегодня 9 апреля
Армянский саксофон
60 69 28
Рабочее время разъездного характера
Боулинг в петровском ижевск
Алгебра 8 класс 67 120 фотографий






















































































































