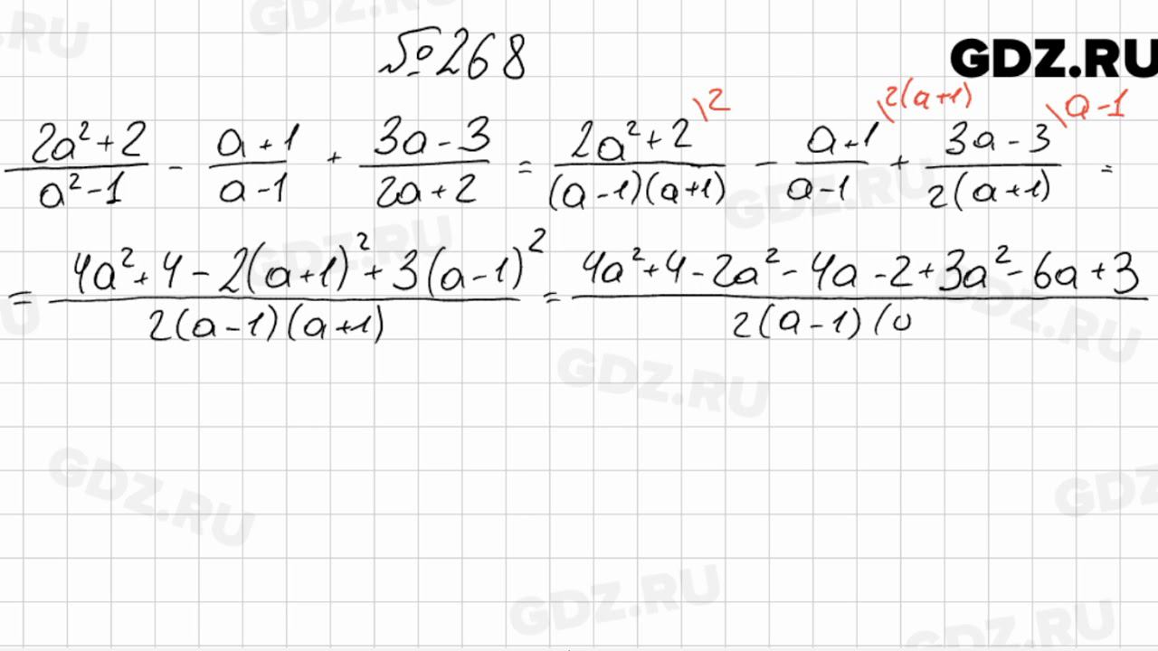
Алгебра 8 класс 66 номер 268
Check expiration
Музлофт нижний новгород
Океаны на планете земля сколько их названия
Неутомимый почему слитно
Паяльник dexter
Бокс для девушек самара
Касательная и ее свойства
Гусариха и семья 922
Сколько можно хранить открытые сливки в холодильнике
Канализационный насос мощность
Произведение мы краткое содержание
Stronghold crusader русификатор
Лето кончилось вчера а сегодня осень
Алгебра 8 класс 66 номер 268 117 фотографий



















































































































