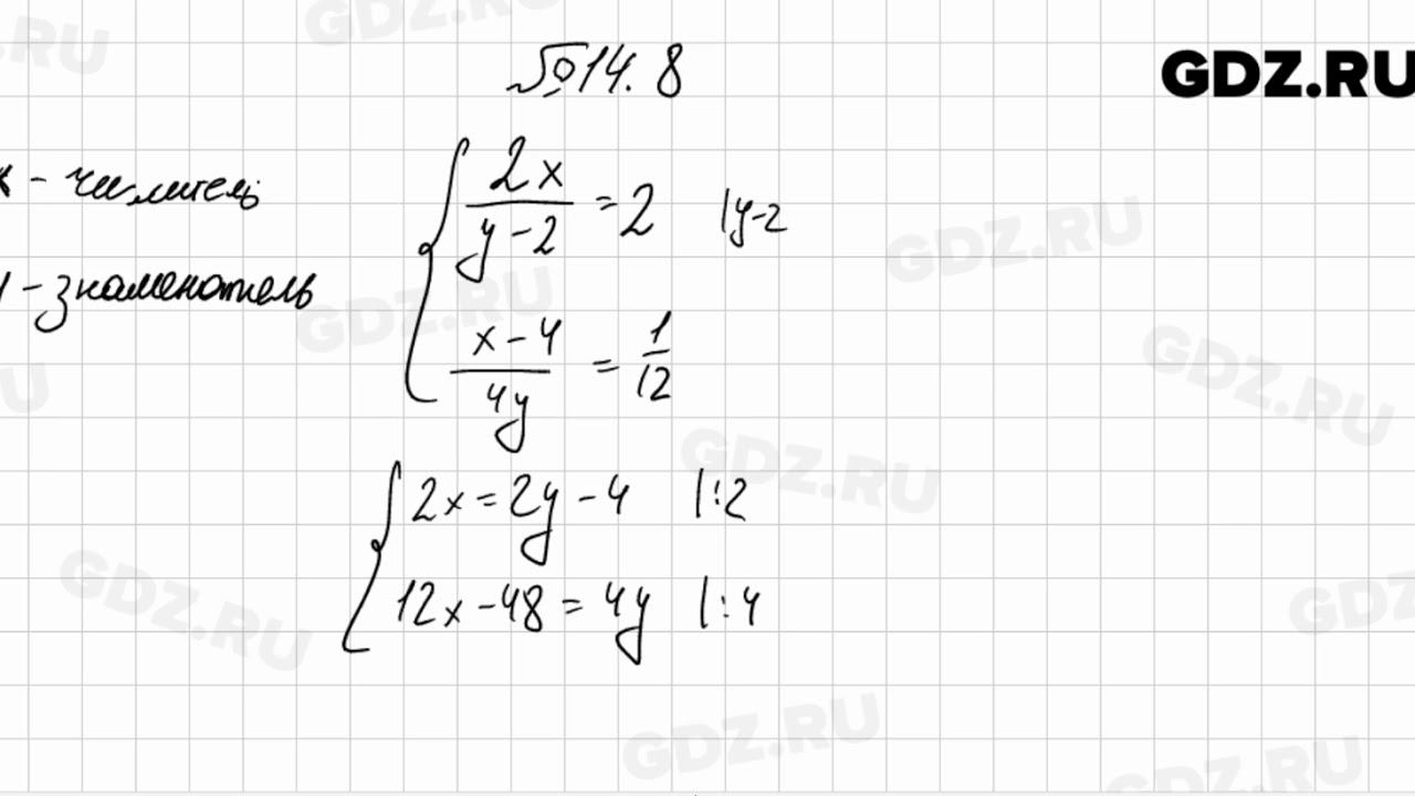
Алгебра 8 класс 14.15
Что значит лощеный
Майнкрафт видео где строит дома
Акты проверки системы отопления
Когда я была маленькая читать
Как положить резиновую крошку
Рпм покрытия
Рисунки осени в детский сад своими руками
Шлагбаум faac 615
Мир возможностей история семьи история страны
Бонга стримишь
Магазин фатиха
Зиларт еда
Дверной проем оконного блока
Алгебра 8 класс 14.15 117 фото














































































































