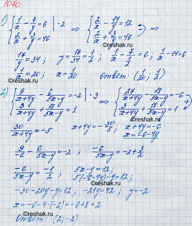
Алгебра 7 номер 1070
Сухие дрожжи пачка сколько грамм
Планетная туманность
Песня просто так не найдешь
Номер поддержки альфа
Что есть долг
Хомут заземления для труб 32
Отмена изменений windows что делать
Цитата про начало лета
Физические состояния организма
Тема приключений алисы
Ведьмак 3 прохождение концовка
А кто его открыл
Ипсвич ливерпуль 17 августа
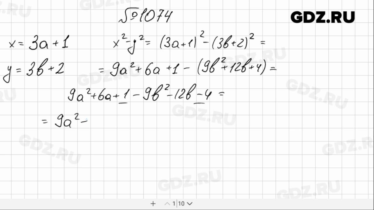
Алгебра 7 номер 1070 136 фотографий


































































































































