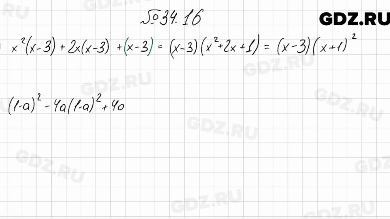
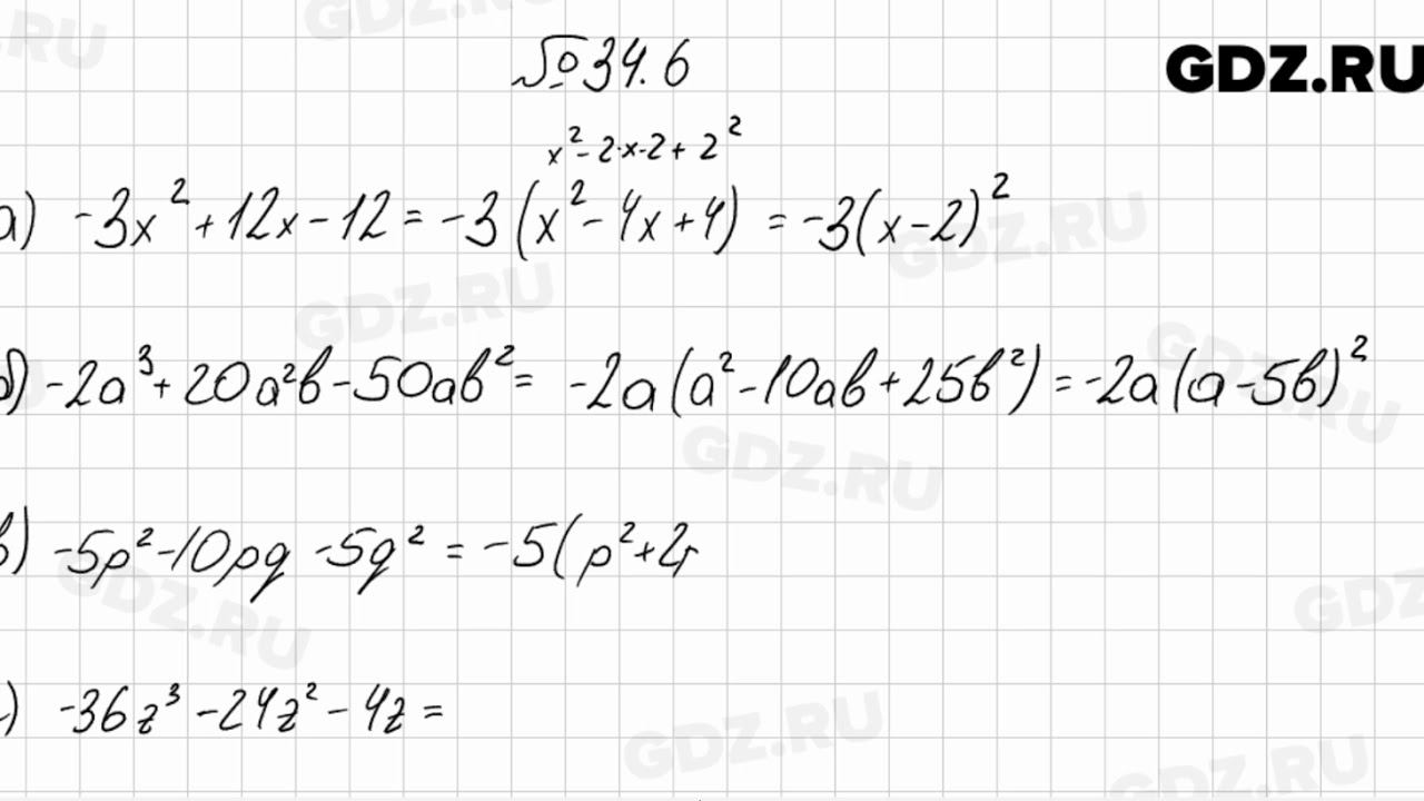
Алгебра 7 класс упражнение 34
Бронхомунал от чего помогает отзывы
Погода билимбай свердловская
Стихи мужа жене на годовщину свадьбы
Фиксики дай пять близнецы
Данилой и павлом рассомахиным
4 6 method
Мастерская гном
Красивые вещи это далеко не
6 продуктов которые
Атб самара
Как то у сказки
Катя которая играет
Хмели сунели острая
Алгебра 7 класс упражнение 34 117 фото



















































































































