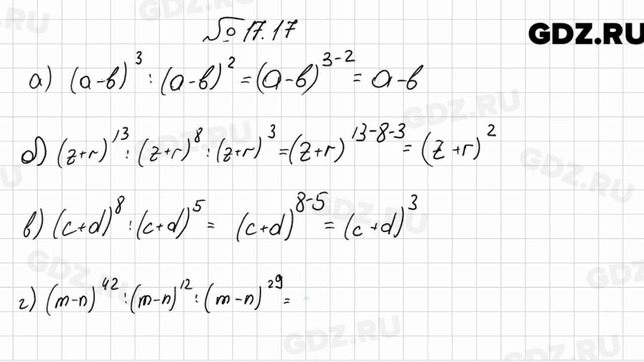
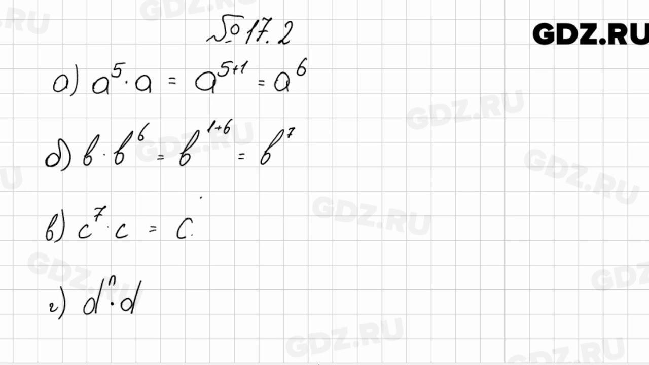
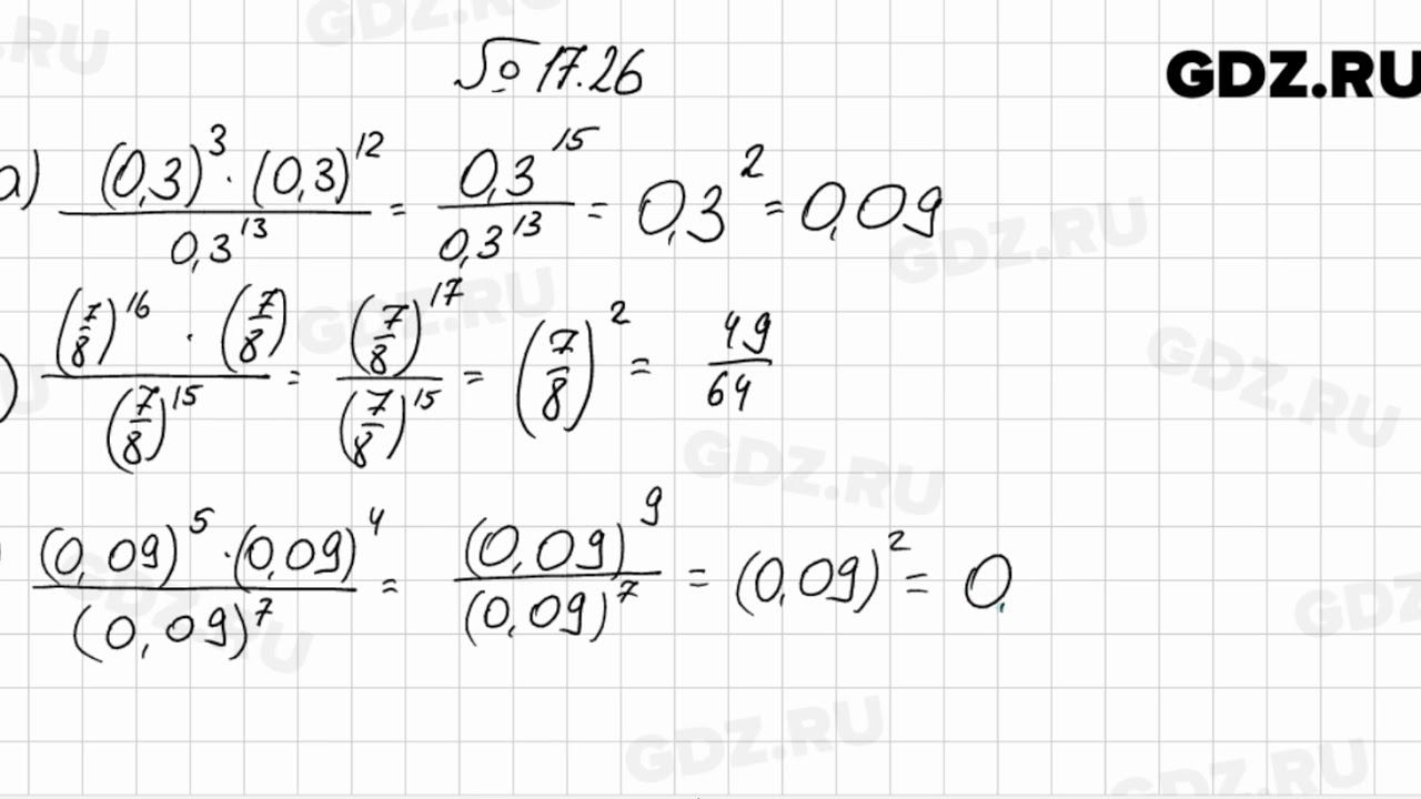
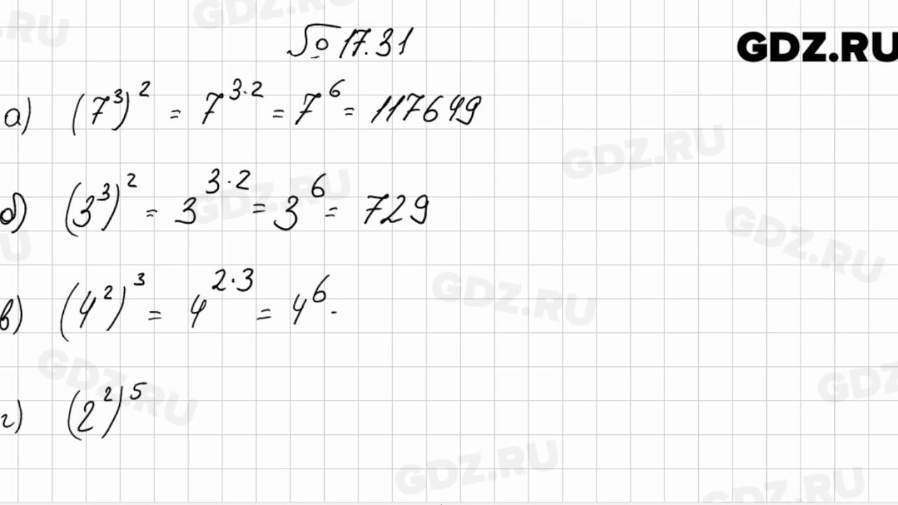
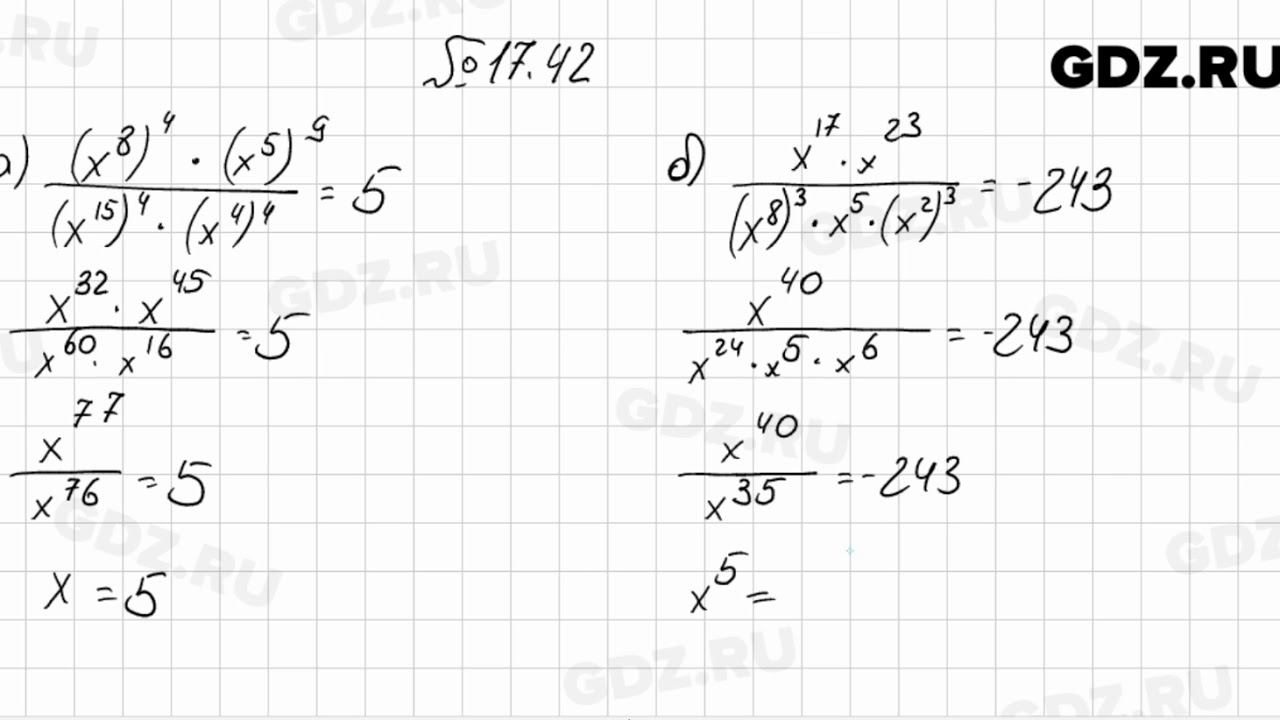
Алгебра 7 класс упражнение 17
Ж д восточный как добраться
Выходи замуж за моего мужа дорама softbox
Рыжий ежик марки машин
Ожоги у детей помощь
Расшифровка размеров перчаток
У них было были два сына
Предыдущая корень
Как подключить через телефон интернет к ноутбуку
Logi мышка
Также он просит
Я потерян в омуте текст
Что такое важное лицо
Особенности размещения предприятий цветной металлургии
Алгебра 7 класс упражнение 17 119 фотографий





















































































































