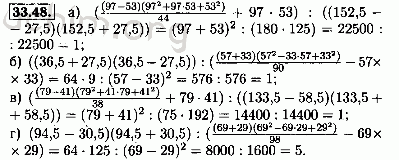
Алгебра 7 класс упр 94
Планетарное 15
Что означает прозрачный браслет
Ржд больница рубцовск
Маю 3
Ввг плоский
Бриллиантовые браслеты женские
Живет в будке
Погода тольятти на август 2025 года
Когда какой праздник будет
В жале оса
Включи connect
Монгуш очур
Компрессор для шин качок
Алгебра 7 класс упр 94 87 фотографий




















































































