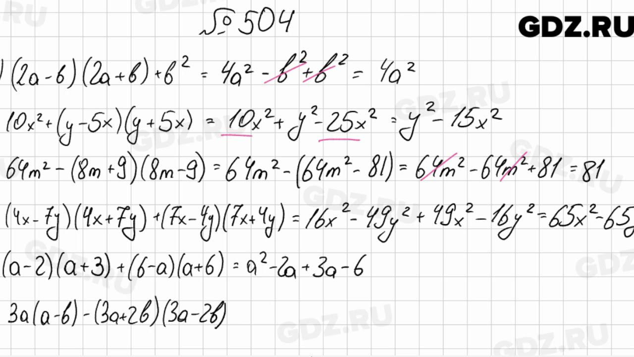
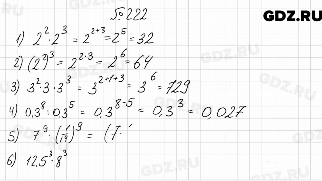
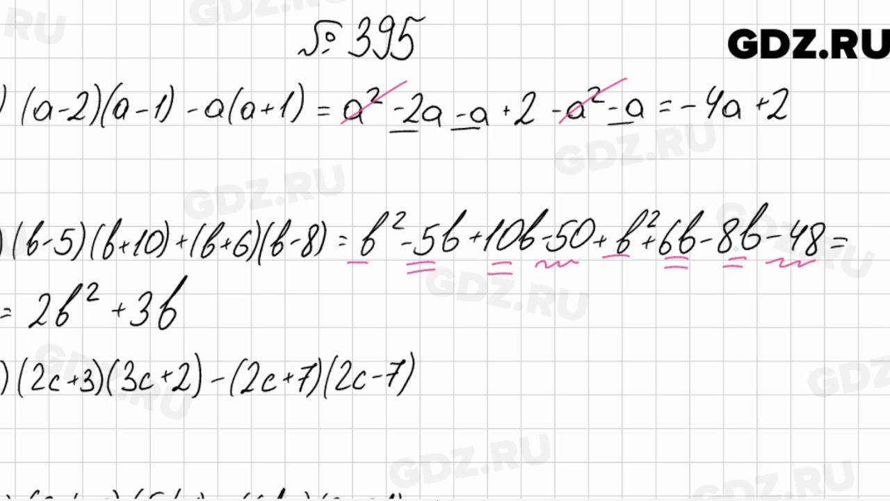
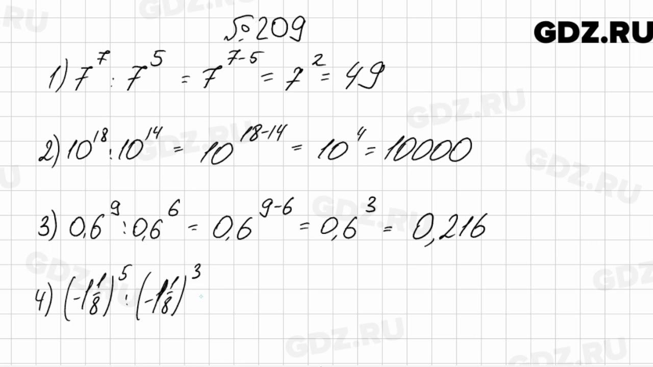
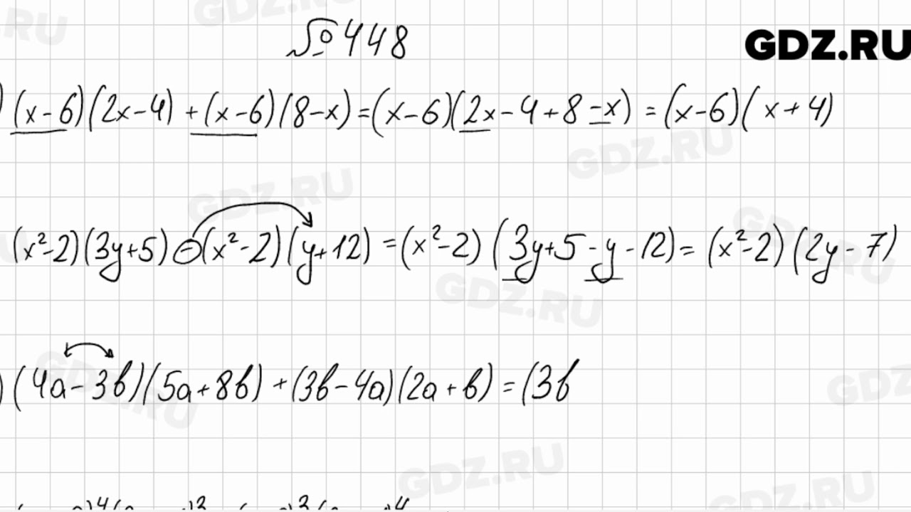
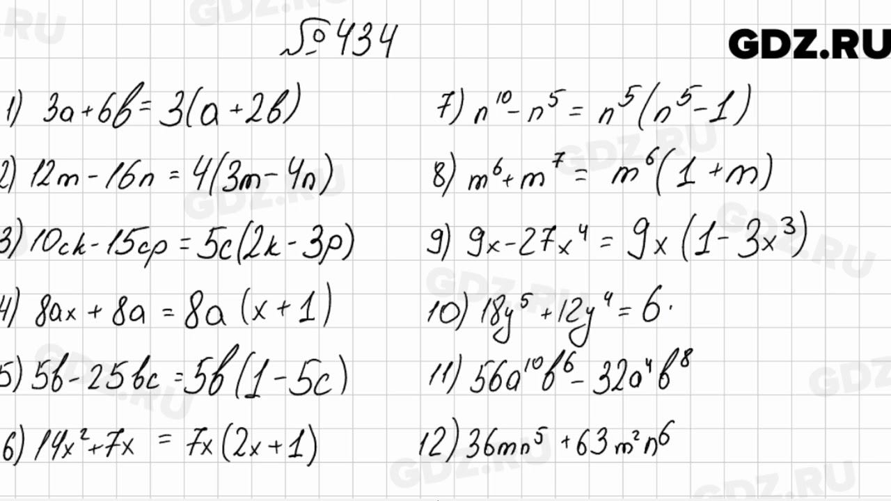
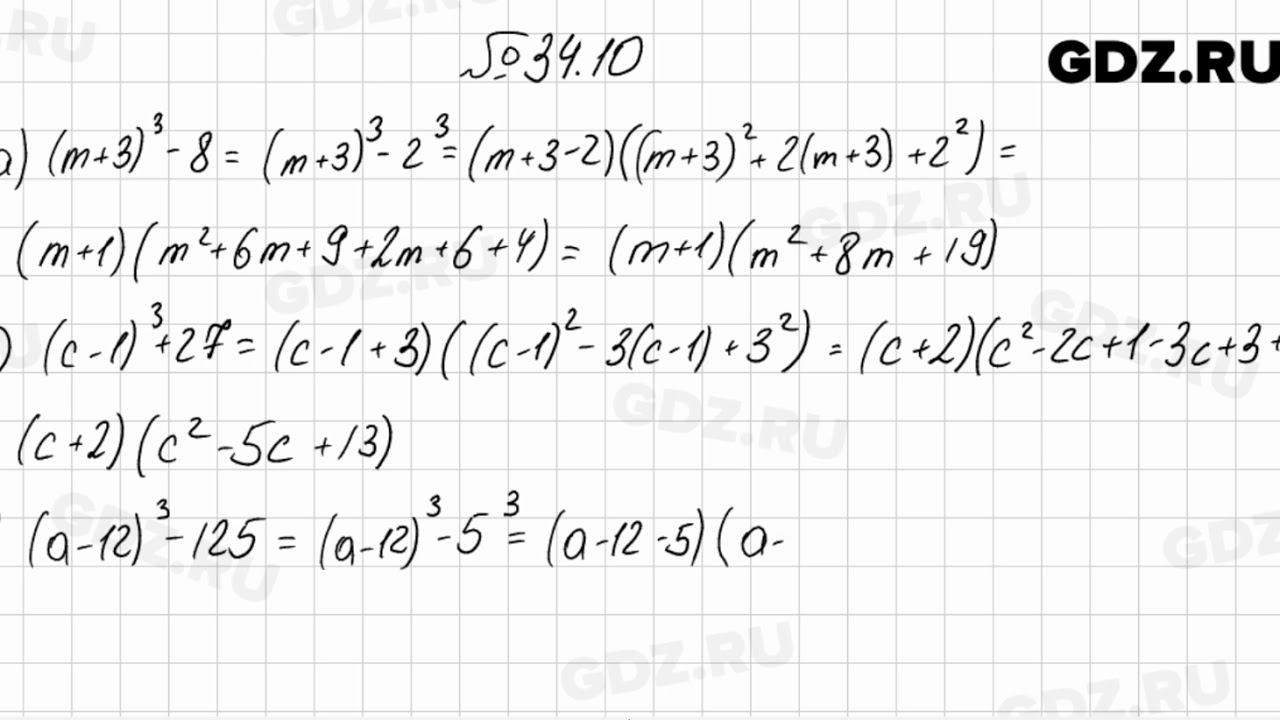
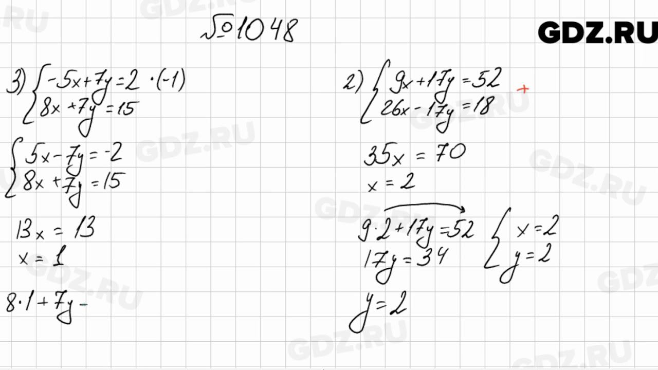
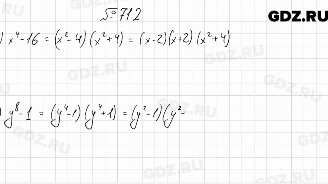
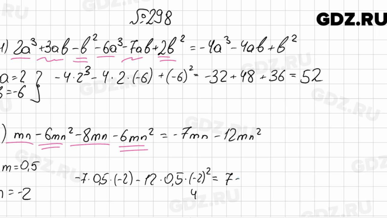
Алгебра 7 класс упр 9 мерзляк
Шопен op 64
Решу егэ вычисление
Плиты pir пир теплоизоляции logicpir
А что тогда не включай
Институт гомеопатии
Сколько калорий в картошке в аэрогриле
Perfect 5 22
Петерсон 3 класс рабочая тетрадь стр 64
Одесский липован на рутубе
Sur 14
Master cs 1.6
Проблема возраста в детской психологии
Dead zone script
Алгебра 7 класс упр 9 мерзляк 117 фото


















































































































