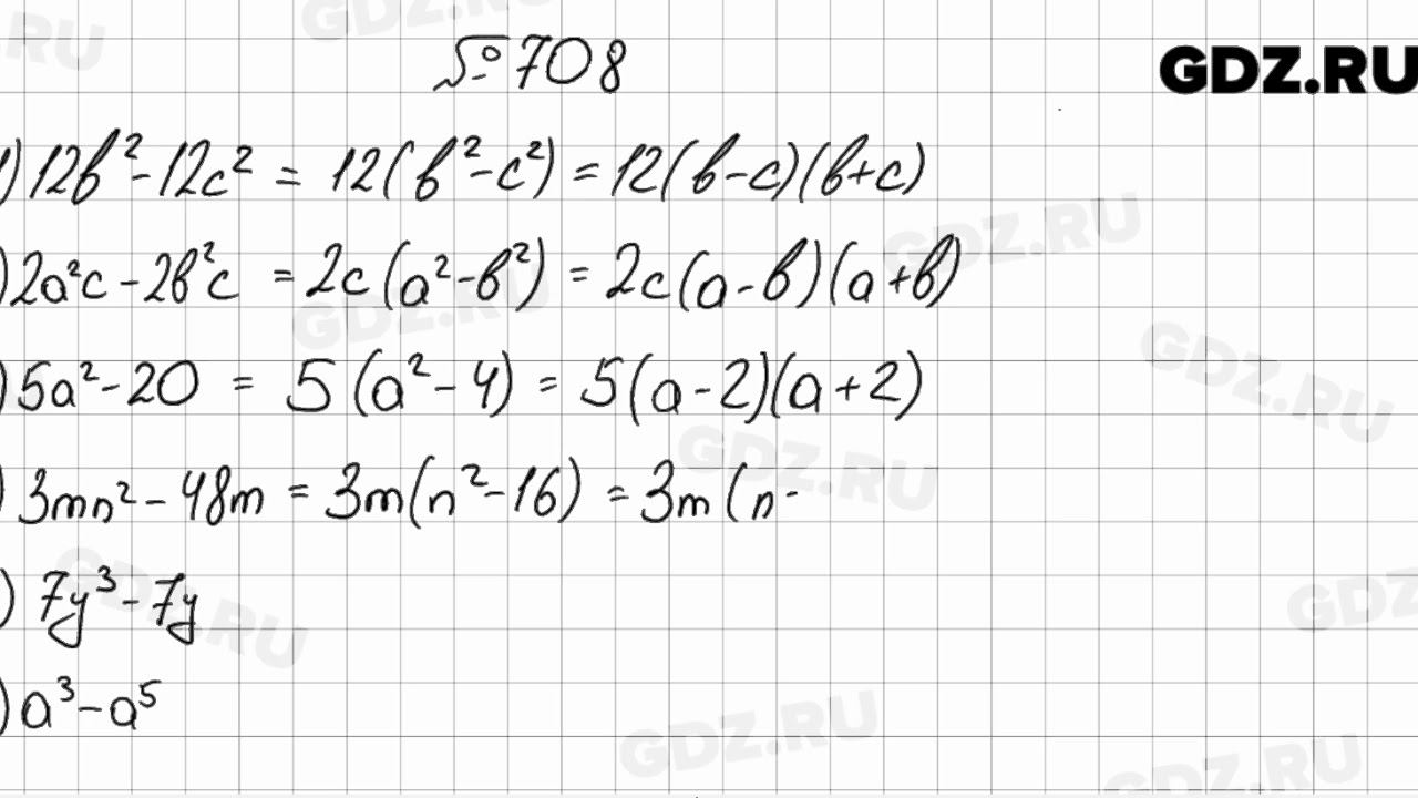
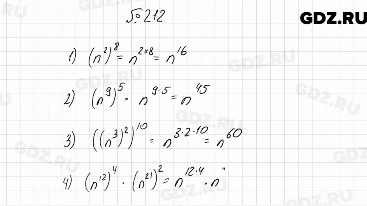
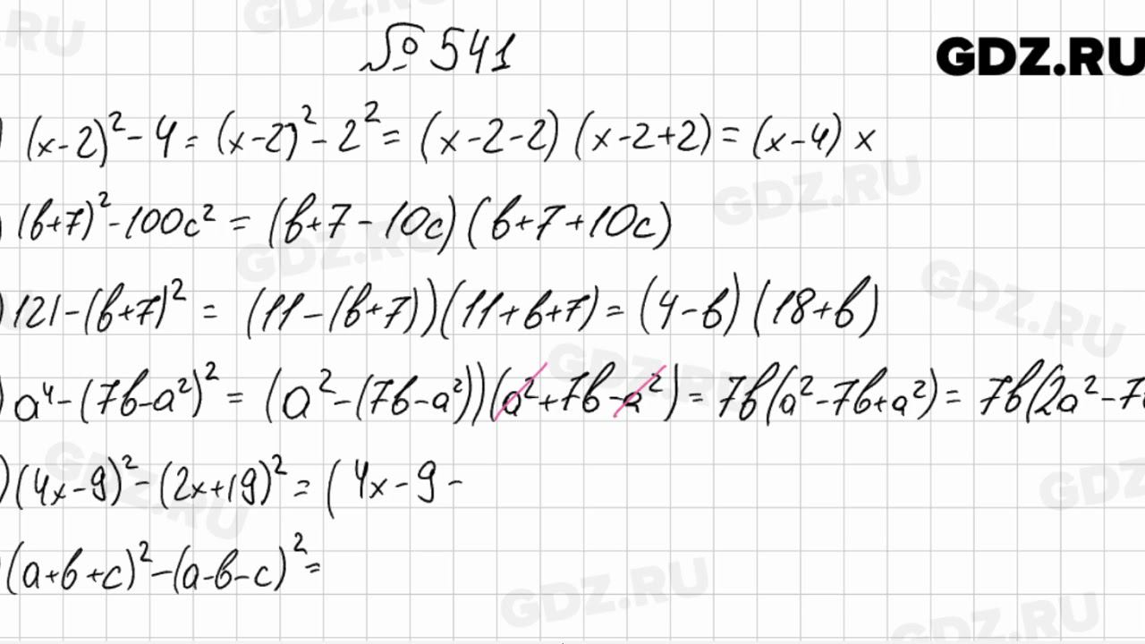
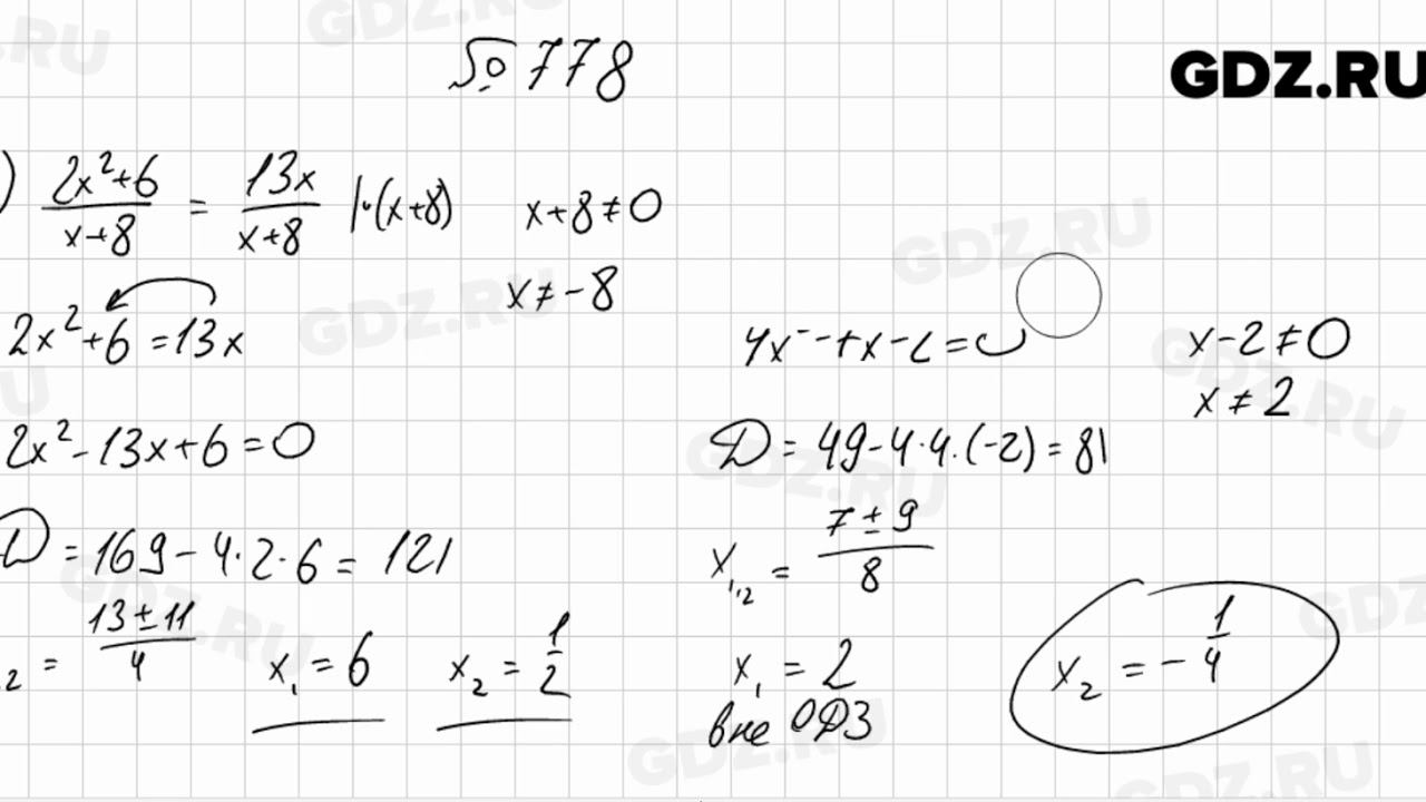
Алгебра 7 класс упр 8 мерзляк
Снасть бомбарда на форель
Как добавить сайты в исключение антивируса
Намаз в махачкале март
Ремень транзит 2.0 дизель
Салливан мем
1с спотлайт 7 класс презентация
В среднесписочную включаются совместители
Battleship 2
Функциональная грамотность 2 класс заданий 10
Бесплатная аудиокниг ка
Замена подшипника в стиральной beko
Ловля рыбы осенью на реке
Северный порт застройщики
Алгебра 7 класс упр 8 мерзляк 108 фотографий









































































































