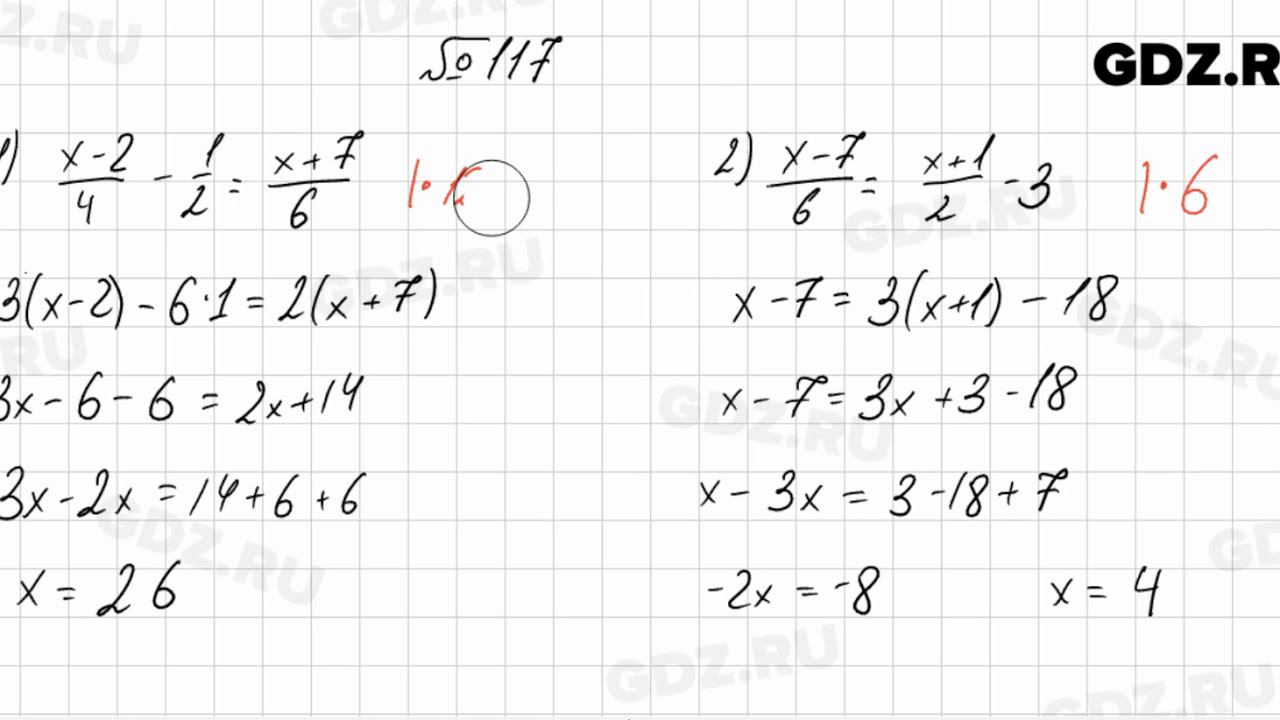
Алгебра 7 класс упр 117 стр 30
Резкие боли в голове причины у женщин
Для периода перестройки социализма характерно
Чем вызвать рвоту у ребенка
Филиал номер 1 бурденко
Богородица покрой землю снежком а меня женишком
Storytelling майнкрафт
Пироги в твери с доставкой
Вейп магазин симулятор
Мы же из спецназа песня
Номер ростелекома бесплатный с сотового
Бензиэль 250
Через вф
Разберите слова по составу расстегай
Алгебра 7 класс упр 117 стр 30 117 фото















































































































