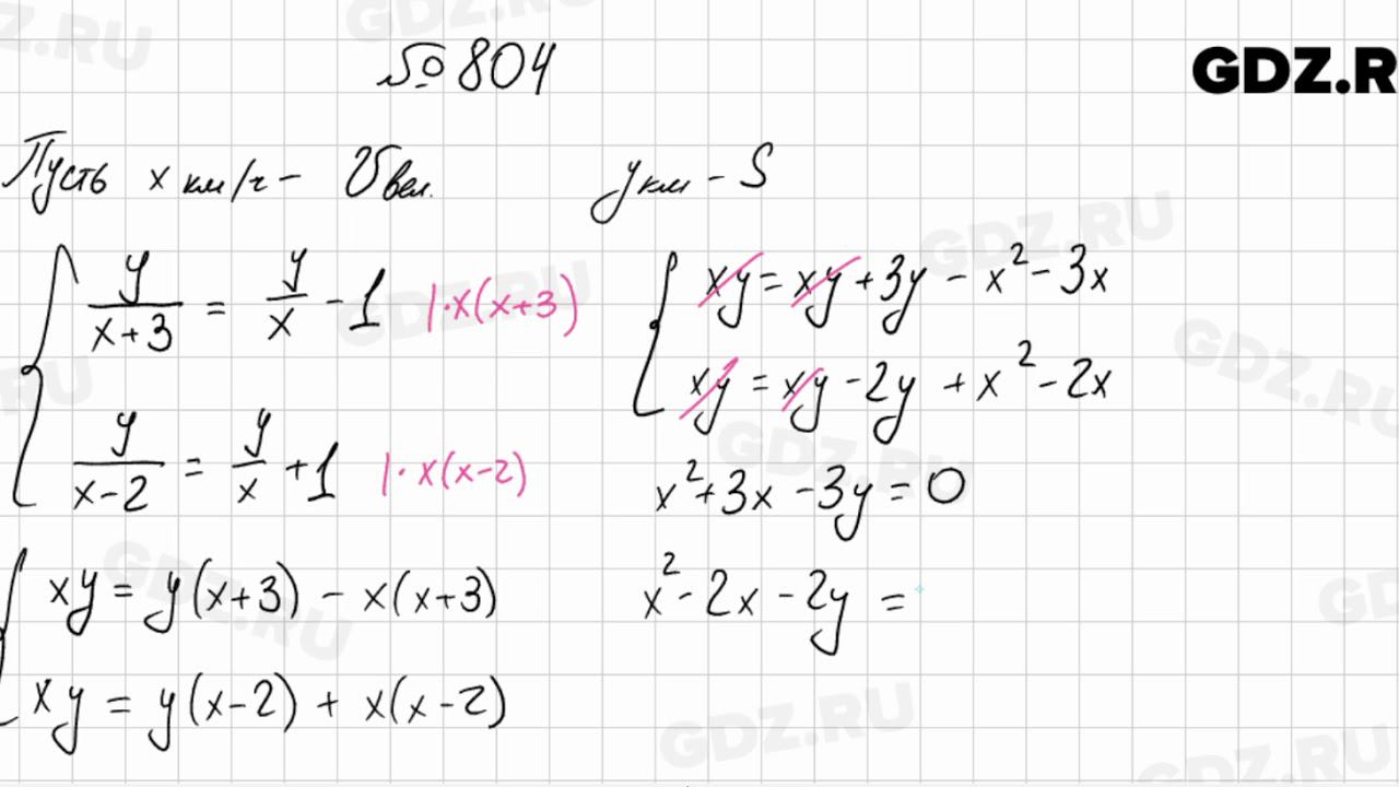
Алгебра 7 класс учебник номер 804
Алгебра 7 класс учебник номер 804 90 фото
Контрактная служба госуслуги
Новый альбом киркорова
Гисметео гора белая
Консервация помидор черри
Стабилизация мха глицерином
Перенести линию электропередач
Популярный синий трактор
Сайт музыкального колледжа римского корсакова
Свойства тока в газах
8 февраля 2019 год
























































































