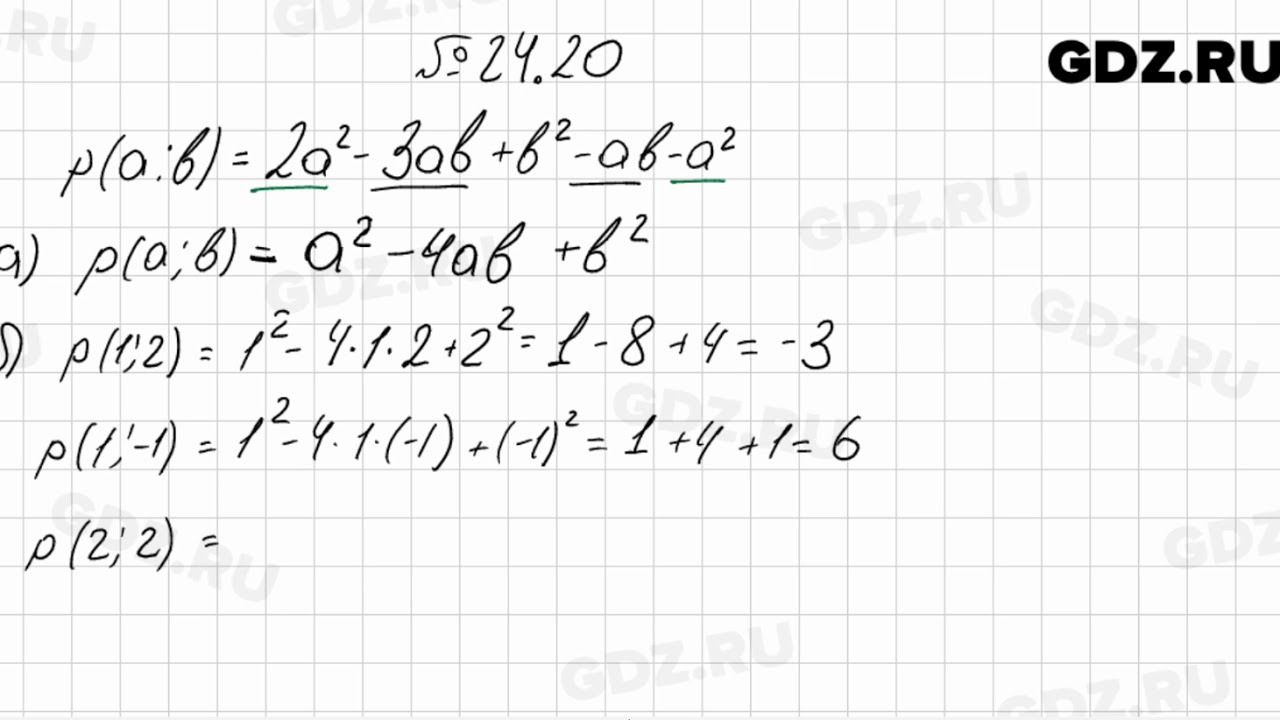
Алгебра 7 класс страница 9 номер 20
No x
Из творога что сделать быстро и вкусно
Манхва дорогой плюшевый
Почему не те мужчины
Поймать т
Санрайз малина ежевика напиток
I have family
Бычок черно белый
Клоринда артефакты
Объявление домов в куйбышева
Полубелый гриб как готовить
П анжеро судженск
Заоблачный разбор слова по составу
Алгебра 7 класс страница 9 номер 20 90 фото
























































































