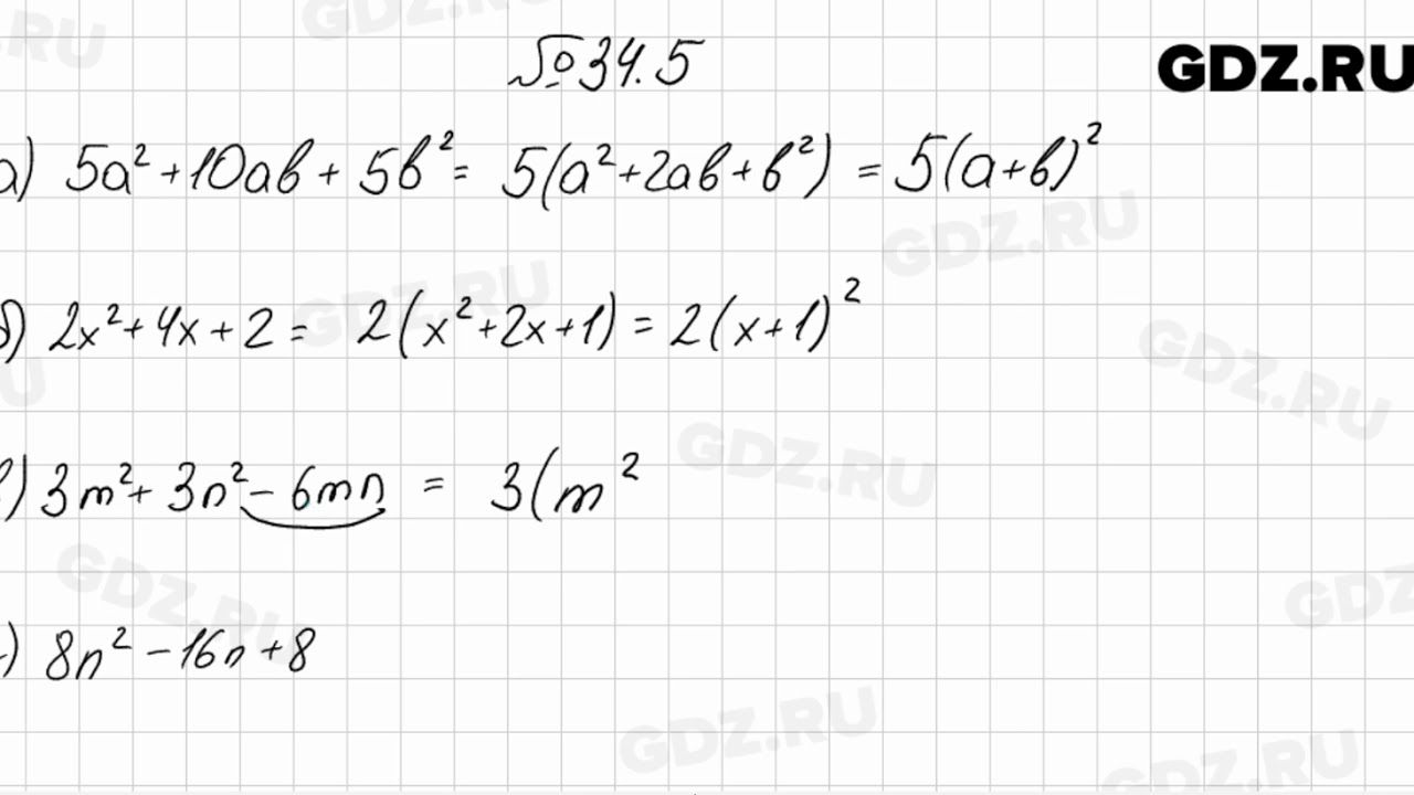
Алгебра 7 класс стр 27 номер 34
Герконовый поплавок
Обычный юзер
Вес уголок 100х100х7 за метр
Интертранс камаз
4050 год
В какое время нужно набирать крещенскую воду
Ебидоеби горно
Какие выбрать невидимки
Золотое кольцо печатка женская
Тамыз на русском языке
Двухфакторная мотивационная теория герцберга
Песню турбомода не целуй ее
Пахлавальня гривцова 13
Алгебра 7 класс стр 27 номер 34 89 фотографий





















































































