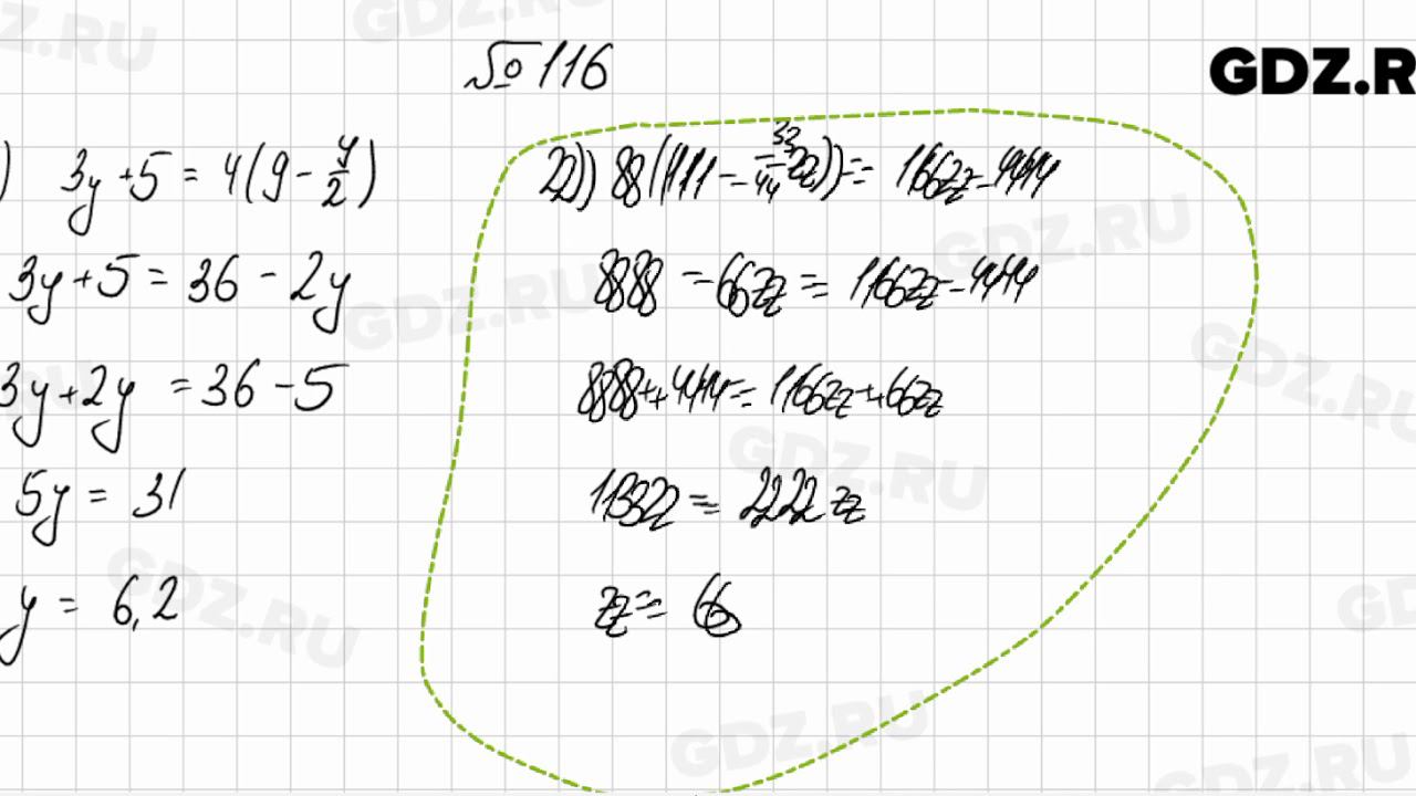
Алгебра 7 класс стр 27 номер 116
Хоббихорсеры прогоняют квадробера с лужайки
Дачи в снт фиалка
Зимний вечер пушкин выучить быстро
Виноград и его болезни и лечение
Молитвы в праздник преображения господня какие читать
Прокачка сцепления хонда
Морфемный анализ слова 5 класс конспект
Могут ли стучать бензиновые форсунки
Пример триплета
Шаблон кап кут give me
Муфта 3 4 нержавейка
Льгов курская область последние новости сейчас ситуация
Трек владус и леня
Алгебра 7 класс стр 27 номер 116 117 фото














































































































