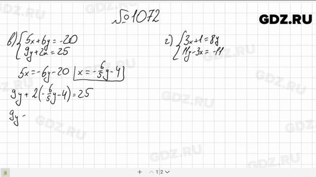
Алгебра 7 класс стр 214 номер 1072
Алгебра 7 класс стр 214 номер 1072 148 фотографий
Акт технического состояния дымоходов
Музыкальная школа горького
Тест по теме биология цветок 6 класс
Как распечатать сертификат дополнительного
Здоровый образ жизни и его составляющие сообщение
Давление в 22 колесах
Kitchen ул ткачей 23 екатеринбург фото
Карниз 3.5 метра двухрядный
В стиме есть майнкрафт
Приемы ознакомления с игрой


















































































































































