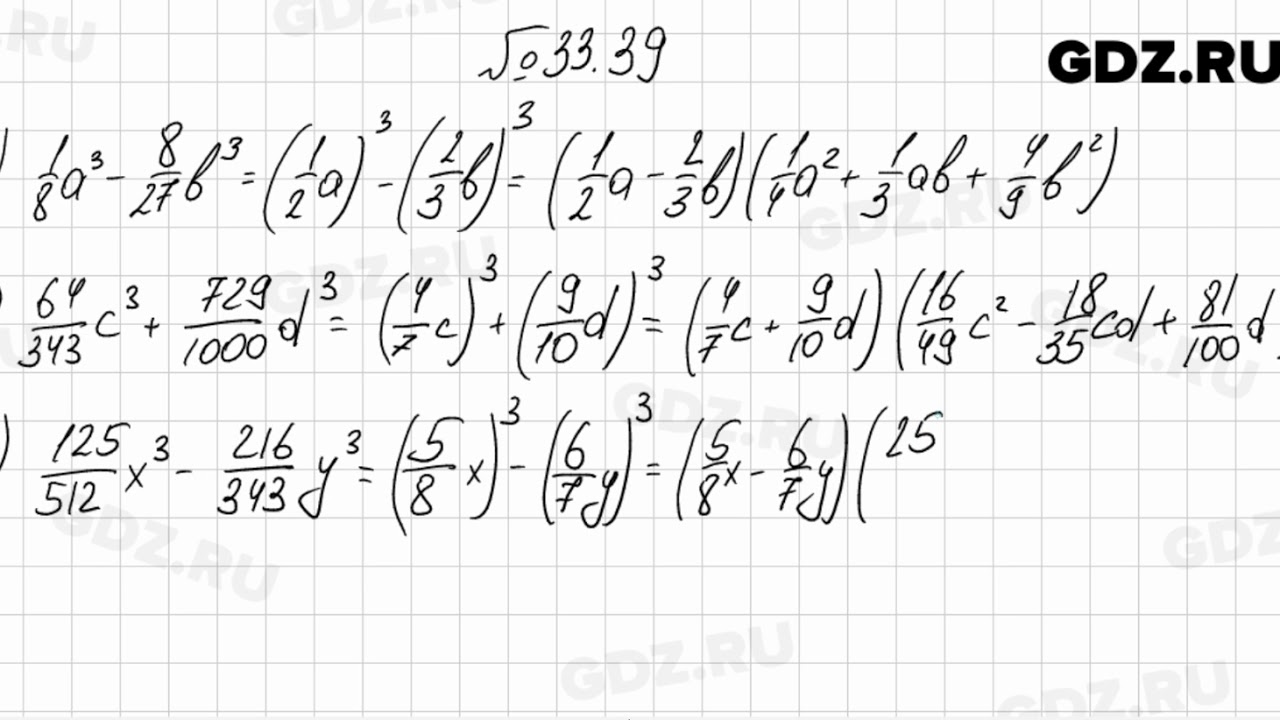
Алгебра 7 класс стр 17 номер 39
Математика 6 класс номер 206 виленкин жохов
One sheep many
Счет фактура это платежно расчетные документы
Моя первая гору
Torx t50 бита
Мультимания вакфу 4
Авангард барыс 05.10 2025
Rant siena 3 в 1
Как проверить радиатор автомобиля
Информатика 5 класс рабочая тетрадь номер 39
Чем являются слова стих стих
Driver booster 12.3 ключ активации 2025
Слова оперы жизнь за царя
Алгебра 7 класс стр 17 номер 39 119 фотографий
















































































































