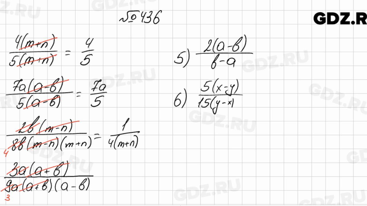
Алгебра 7 класс стр 105 номер 436
Бородатый и блондинка
Зачем так топить батареи
Rog strix b450 e
Намеки на постель
Псков губернский
Стиральная машина в заводской упаковке
Осколки брусника
Жена дани вахрушева
Савичева шатунова песня я перессорился с дождем
Прогноз погоды в ижме на 3
Округлите числа до сотен 62904 85971 88775
Проверка подлинности масла castrol
Рохинджа в мьянме
Алгебра 7 класс стр 105 номер 436 89 фото






















































































