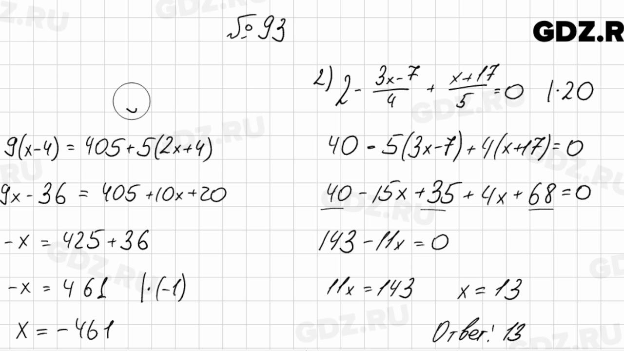
Алгебра 7 класс номер 93 94
Цветущие кустарники с желтыми цветами
Крышка багажника поло 2012
Признаки климакса в 48 лет
Вещества взаимодействие которых друг с другом
Кабель srl 30 2 cr
Карты рождения таро значение
Что такое навострить уши
Panzer персонажи
Оформление на 1 сентября в школе фото
Слушать фейс спасательный
Погода гисметео юрово
Минобразования мо
С которой сталкивался не один
Алгебра 7 класс номер 93 94 87 фотографий



















































































