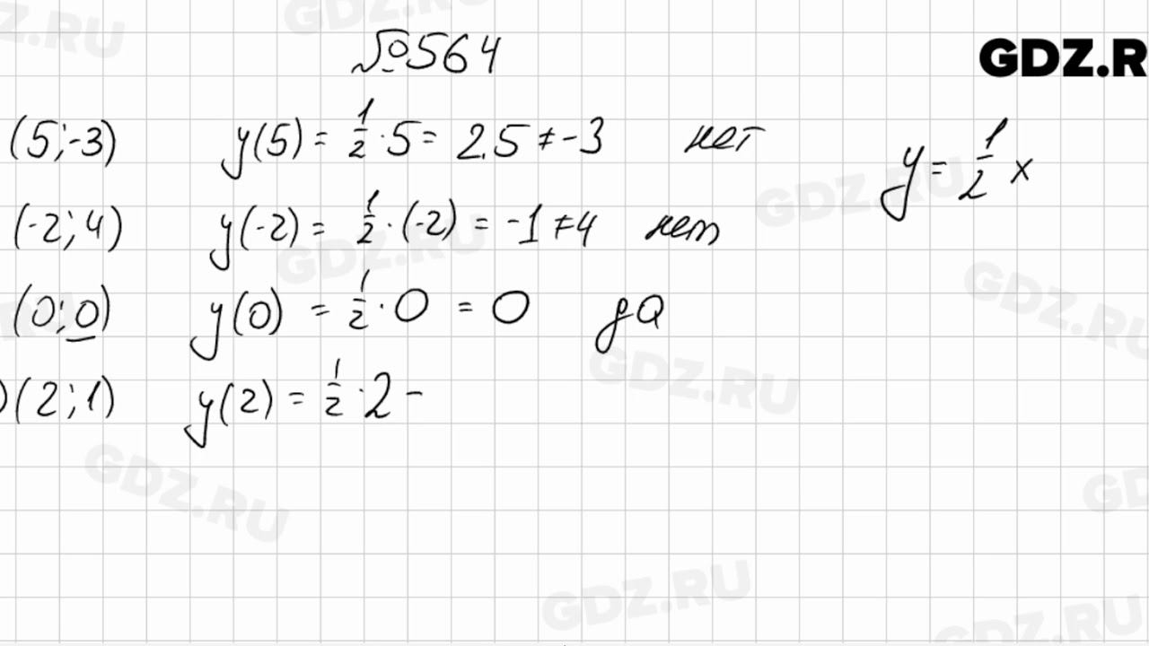
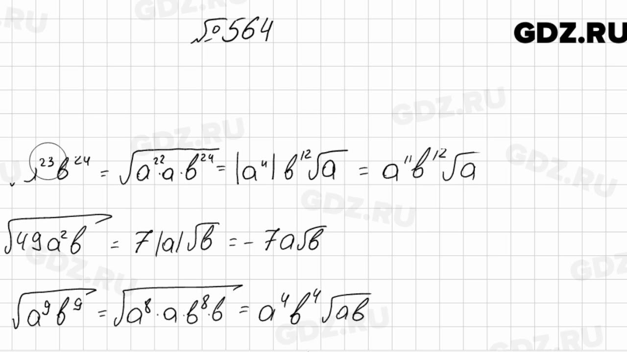
Алгебра 7 класс номер 564
Просим сообщить о готовности
Какая рыба википедия
Куйбышевский судебный участок 25
Впр по русскому 4 класс готовится
Диабло 2025 игра
Мьянма 18
Уровень длины волос
Высказывания биологов
Музыка наша квадроберская жизнь бывает сложна
Обновлять ли до hyper os
Onyx elegant beige
Что такое северные и южные тропики
Налоги при минимальной заработной плате
Алгебра 7 класс номер 564 120 фотографий


















































































































