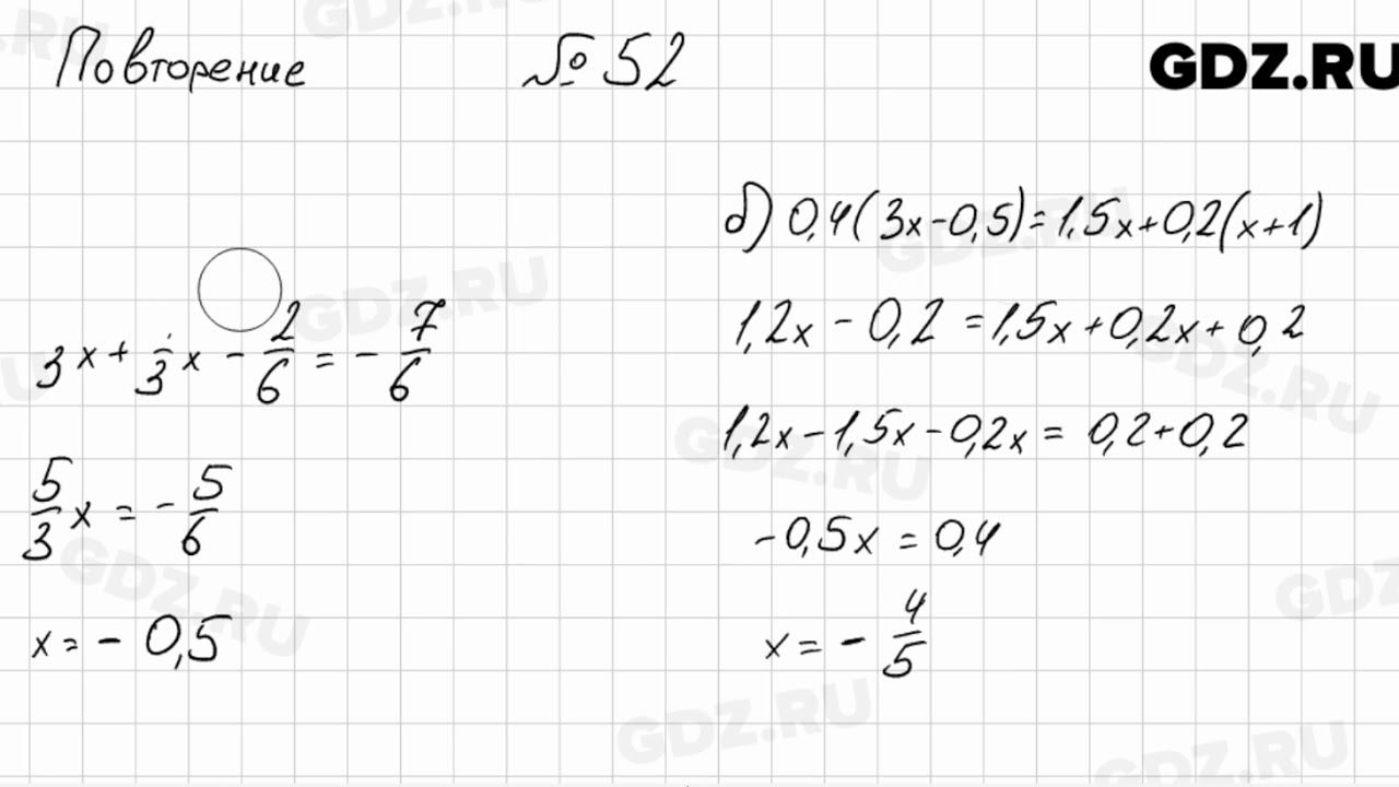
Алгебра 7 класс номер 52 стр 18
Перестановки факториал сочетания и число сочетаний задачи
Предохранительные клапана на газоходах
Как придут лен
Elle журнал 2024
Май саммер zip
Суспензии пигментов в олифах называется
Работа город рязань дворник
Ecos палки для ходьбы
Красно белое владивосток адреса
Числа от 1 20 для детей
Соломбальский терминал архангельск
Конференции в муниципальных образованиях
Деревня бабино погода
Алгебра 7 класс номер 52 стр 18 88 фото


















































































