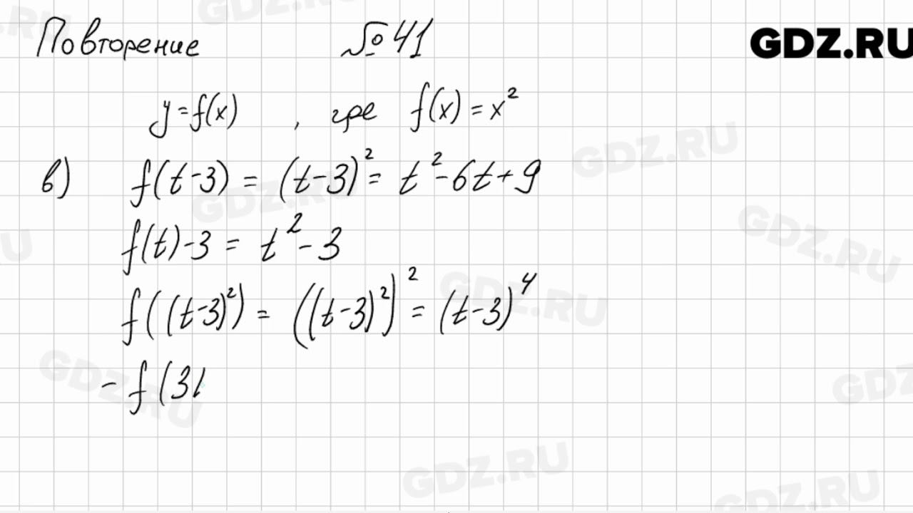
Алгебра 7 класс номер 41 решение
Рм 42
И one магазин
30 ноября минюст
Тула 20 века
Бу коробка где
Звезда многозначное слово примеры
Risk buy
Иерархичность таксонов
Сверните телефон
Портфолио достижений воспитанников
Смоленск ул кирова 22д
Колонка jbl flip 6 черный
Don omar danza kuduro mp3
Алгебра 7 класс номер 41 решение 120 фотографий





















































































































