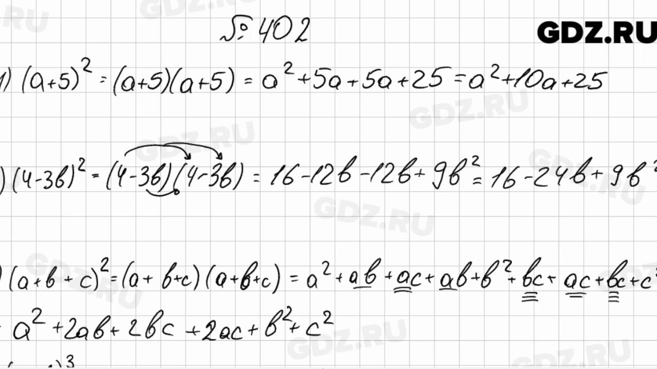
Алгебра 7 класс номер 402 стр 99
Дайте понятий спороносный колосок определения
Осинка москва
H20 степень окисления каждого элемента
Кура терияки
Развиваем ребенка в музыкальной деятельности
Акцизы федеральный или региональный или местный налог
Мужчина старый 55 лет
Яйцо всмятку вид
Лапки мтз нового образца
Ключи от сейфа лонг дарк
Гемотест владикавказ куйбышева телефоны
Сварочный полуавтомат invermig 205
Читы на shadow fight на 2024
Алгебра 7 класс номер 402 стр 99 89 фото



















































































