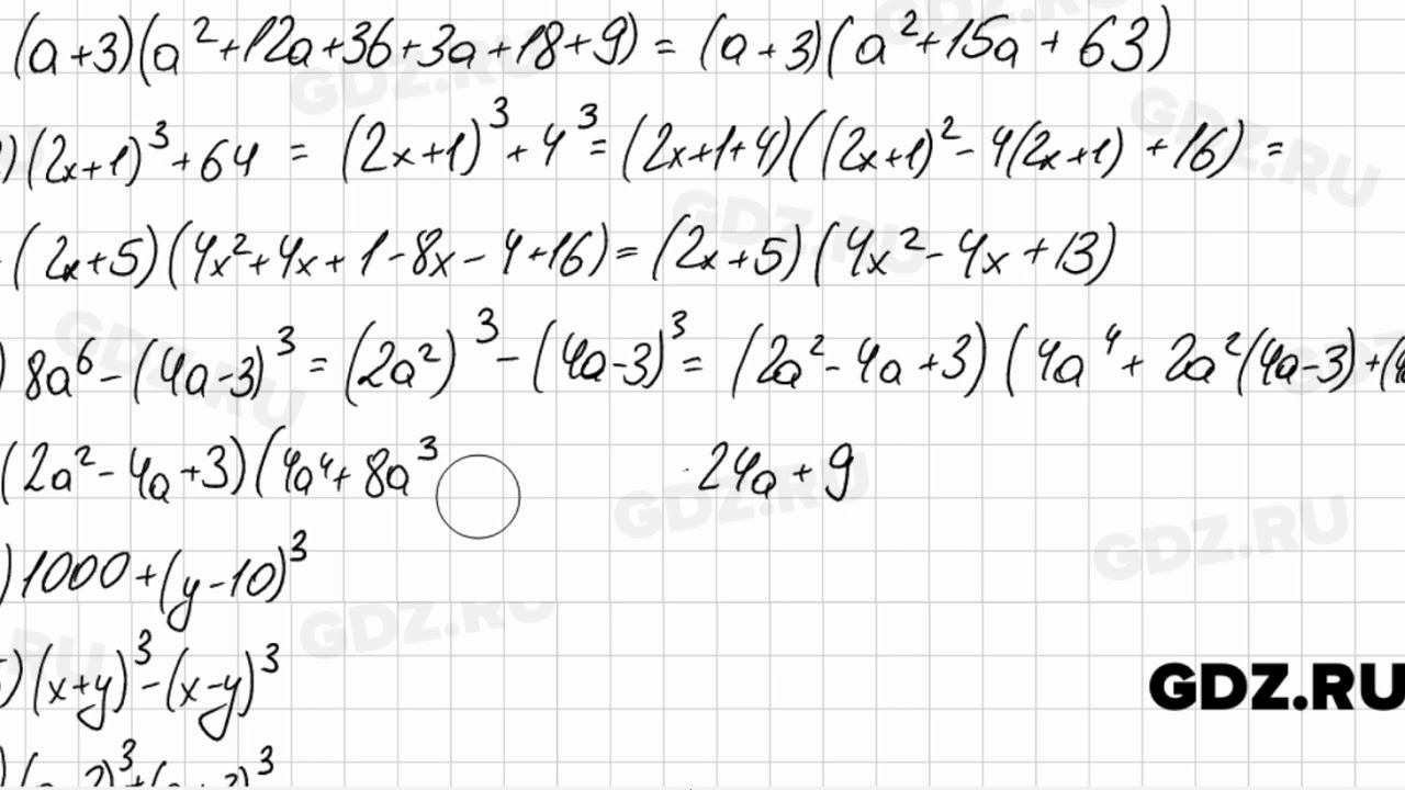
Алгебра 7 класс номер 38 полонский
Франция башня слов
4992724520 чей номер регион
Совершенно не уступает
Lab тренировка что это такое
Переходник смесителя на борт ванны
Видеокарта rx 7600 xt 16gb
Трепещут правило
Почему необходимо изучать географию
Боль в пояснице слева форум
Как засолить помидоры огурцы вместе
Сервал отзывы
What is the of your report
Впр по географии 6 класс 2025 год
Алгебра 7 класс номер 38 полонский 119 фотографий





















































































































