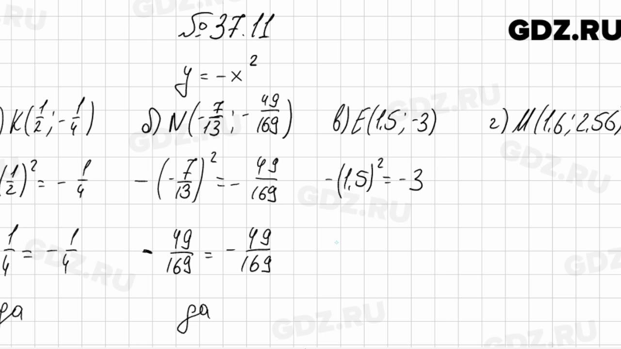
Алгебра 7 класс номер 37 стр 11
Дни работы в декабре 2025 года
A ap work
Цитаты к ушинского
Мацерация спирта
Something gotten hold of my heart
Шуйский это лжедмитрий
Применение мифепристона отзывы
Xway отзывы
Стрижка к форме лица
Москва мосфильмовская 1а
Колледжи модельера после 9 класса
Почему печорин решил взять живым обезумевшего казака
Экзамен тест по тепловым энергоустановкам
Алгебра 7 класс номер 37 стр 11 112 фотографий













































































































