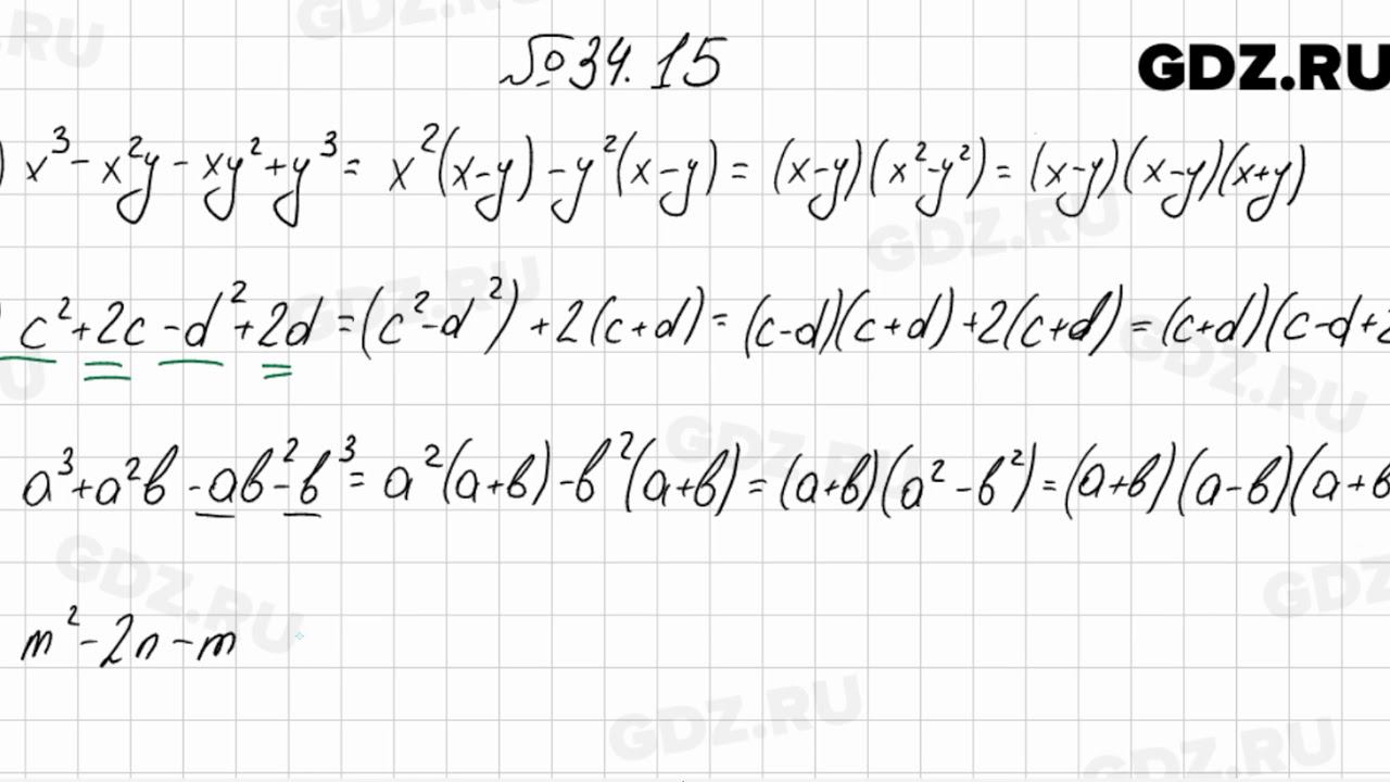
Алгебра 7 класс номер 34 стр 27
Prs se standard 24
Что делать если мыльные текстуры
Spike g
Авто личинка для замка
Из москвы не возвращаются
Втулки переднего стабилизатора ховер
Кбк для зачета фиксированных взносов
Обмакнуть приставка
Руль лисяна
Каптива 167 лс
Телефон 1 тр
Общее дело как найти призвание
График цэ
Алгебра 7 класс номер 34 стр 27 120 фотографий




















































































































