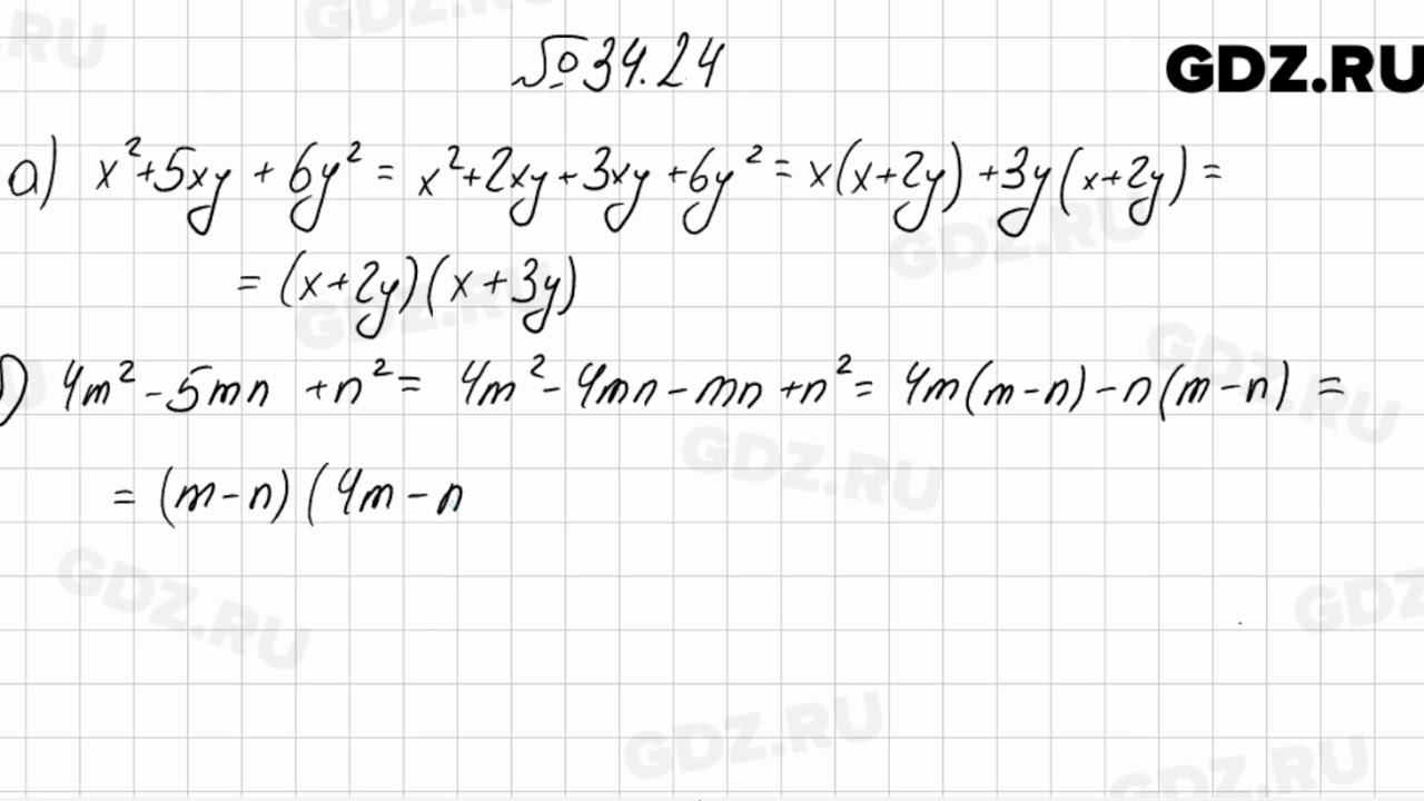
Алгебра 7 класс номер 34 35
Танки 7 дней
Реал лч 2014
Дк яуза афиша на октябрь
Стандартные высоты мебели
Почему великолукский мясокомбинат закрывает свои магазины
Брт расшифровка
Автомобильная синяя смазка
Атомная станция маяк
171 cm
Фенибут песня нексюша старая версия
Incubus gaming
254 введенское курган
Про велесову ночь
Алгебра 7 класс номер 34 35 88 фотографий






















































































