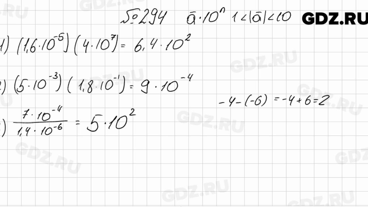
Алгебра 7 класс номер 294 мерзляк
Золотарник аптека
Настоящия эми
Включи видео паши флейзина и лехи джела
Табы скобки что значит
Диск 9 14 5
Крем масляный для наполеона классический рецепт
Работа допог казань
Черепахи места обитания
Что можно приготовить с домашнего молока
Hori commander
Виды издержек выручка и прибыль
Сайт интеллекта владикавказ
Поздравление с 1 сентября выпускнику 11
Алгебра 7 класс номер 294 мерзляк 116 фото
















































































































