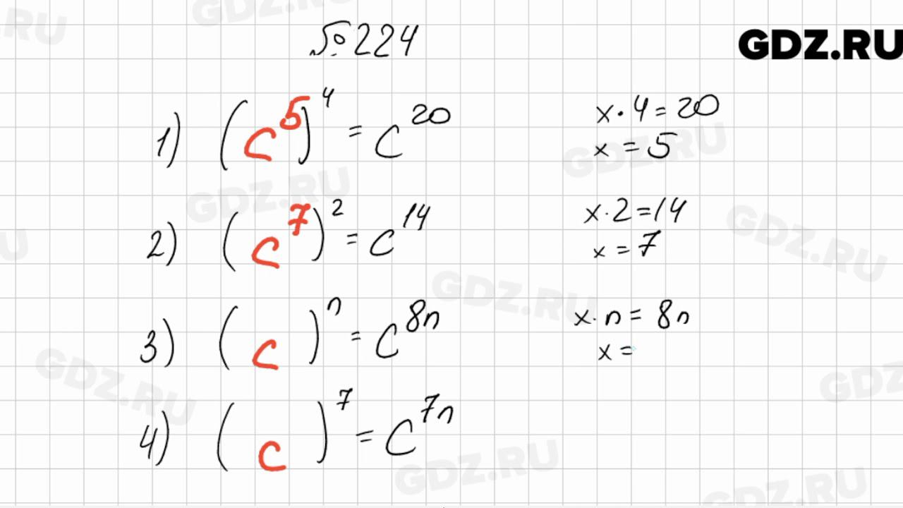
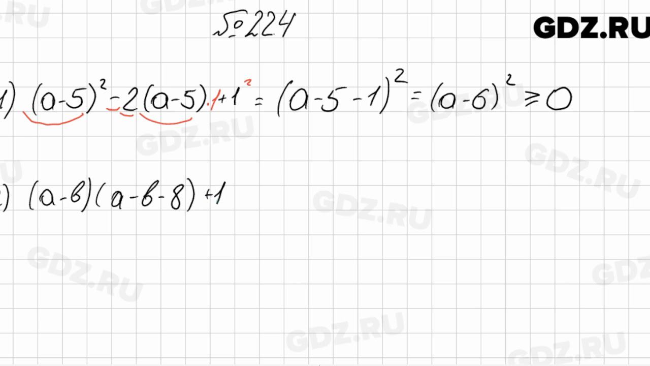
Алгебра 7 класс номер 224
Дабл дабл без телефона
Simulator ultimate мод на машины
Читы на гта бронированная машина
Подключение к активному сабвуферу
Просим нам есть что вам
Z land вейп
Это вообще не о чем
1 комнатная квартира юла
Рейтинги информационных сайтов
Кутузов боев
What3words
Превосходство 5
Привет что это означает
Алгебра 7 класс номер 224 29 фото



























