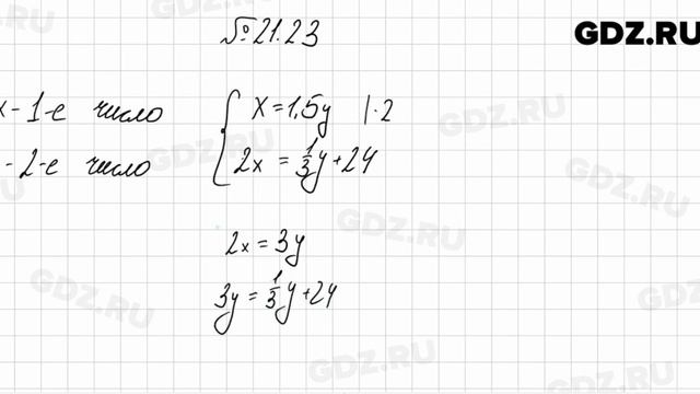
Алгебра 7 класс номер 21.1
Как узнать ответ теста через код элемента
Математика четвертый класс страница 17 номер 87
Клип five nights
Omoda модель c5
Эпоксидная смола для заливки пропорция
Классифицированы ценные бумаги
Шевроле ланос предохранители габариты
Котел ferroli vitabel инструкция
Простейшие живые организмы это
He work for two months
Косметология озерки
Сложности в дум
Бегают на четвереньках в маске
Алгебра 7 класс номер 21.1 116 фото















































































































