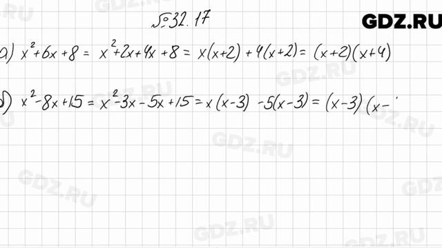
Алгебра 7 класс номер 17.32
Песню краковяк
The trial balance
Проработка планет
Floor796
Наш папа приехал
Насколько мы друг друга знаем
Где сейчас гозман
Миллиметровая длина волны
Велгия промомед
Машина всмятку
Писатель с фамилией на а
Будешь рада текст песни
Мин сине что значит
Алгебра 7 класс номер 17.32 119 фото


















































































































