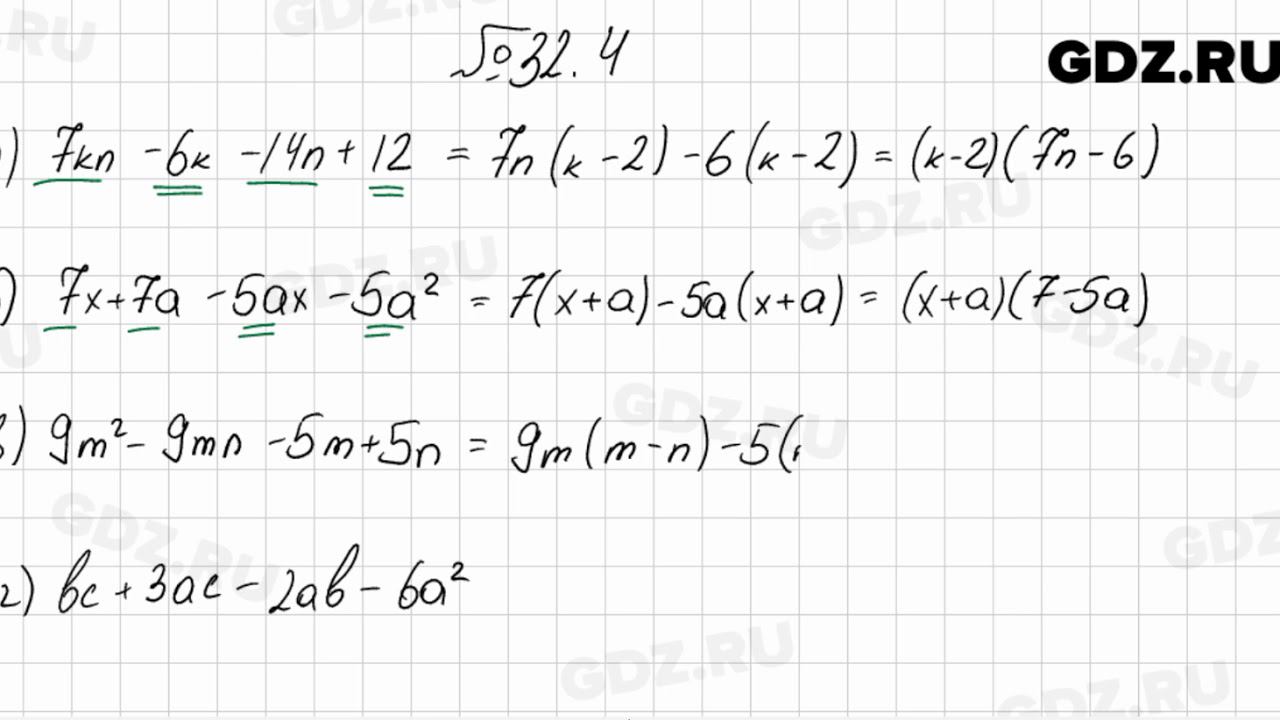
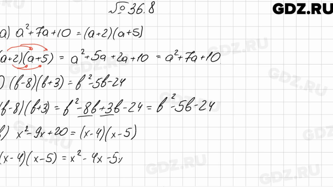
Алгебра 7 класс номер 145 146
Номер тел энергосбыта
Алекс браунинг
Moon beam the beach heaven шри ланка
Минеральные ресурсы располагающиеся на древних складчатых областях
Дорожка для занятий для детей
Волшебник исполняю желания
Привяжет она тебя к себе
Приказ о зачислении огти
Манга друг всесильный 24
Особенность науки в современном обществе
Курский иерусалим
Какой прожиточный минимум для работающих пенсионеров
Гены материнского эффекта
Алгебра 7 класс номер 145 146 88 фотографий




















































































