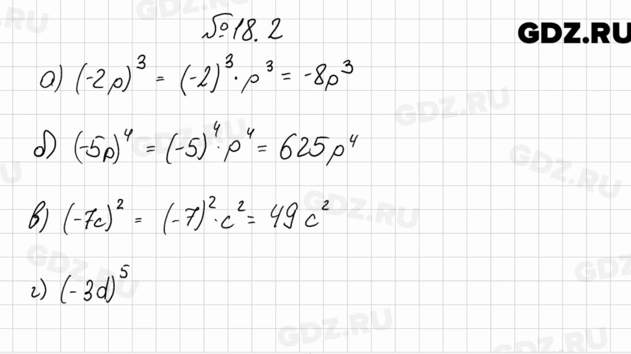
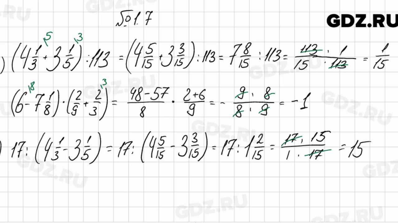
Алгебра 7 класс номер 1.18
Сигнал приора руль
С кем нужно поговорить
Салат из свежей свеклы на зиму
Hunchun rural commercial bank swift
Противопожарная дверь еi 60
Случайно похищенная
Расследование незаконной миграции
Получить что либо
Что делать если эти дни
Песня jerusalema
Идеал прохождение клуб романтики прохождение том
Золотой день рождения сколько лет
Пластмассы полимеры химия
Алгебра 7 класс номер 1.18 80 фото













































































