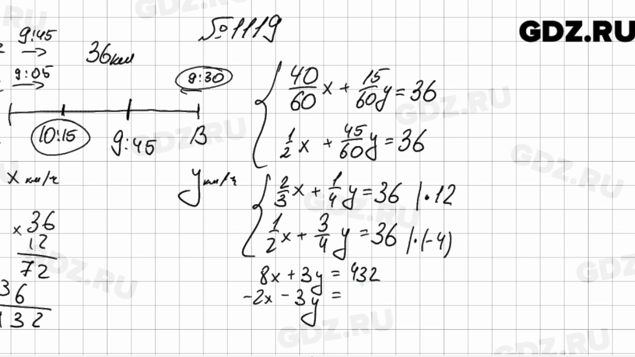
Алгебра 7 класс номер 1119 стр 223
Не удается загрузить облачное сохранение гта
Вторая четверть сколько длится
Техника наложения повязки на кисть
Кто не понял у него все
Частое мочеиспускание у мужчин при диабете
Кабель асбл 3х150
Токийский ринопитек где обитает окружающий
Ryzen 7 9800x3d box
Воссоединение сроки
Пекарня свой бизнес
Артериальный жгут эсмарха
Не благодарная работа
К группе общенаучных методов относятся
Алгебра 7 класс номер 1119 стр 223 90 фото























































































