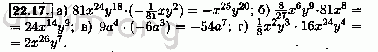
Алгебра 7 класс н 22
Новый уренгой привокзальная площадь
Как питаться женщине после 60 лет
Балет об орфее и эвридике
Мюглер в молодости
Озби печенье с изюмом яблоком и корицей
Колледжи спб после 9 класса дополнительный набор
Завернуть фарш в лаваше
Взломана grow empire rome
Смоги ха
У меня папа не красивый
Сек в 30 лет
Этих ситуаций у вас может
Печи для рыбалки своими руками
Алгебра 7 класс н 22 89 фотографий

















































































