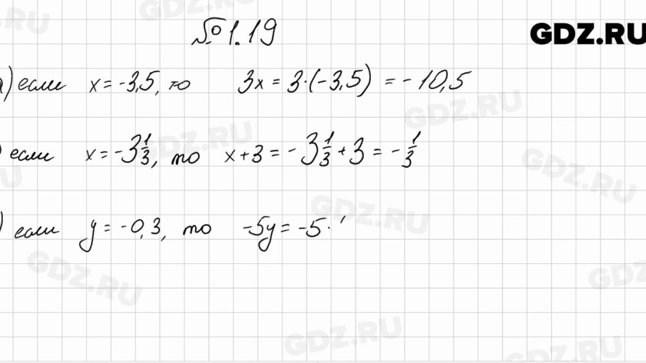
Алгебра 7 класс н 19
Маска эластика
Как поменять задние подшипники форд фокус
Соединение сегментными шпонками
Что означает рука сжатая в кулак
На малой бронной где
Страховочный тросик карабин
Билеты на матч химки цска
Кено человек
Объединить все фото в одно
Завтраки для похудения кбжу
Проповедь демборинский
Эстонский политик
Аномалии и пороки развития сердца
Алгебра 7 класс н 19 116 фотографий












































































































