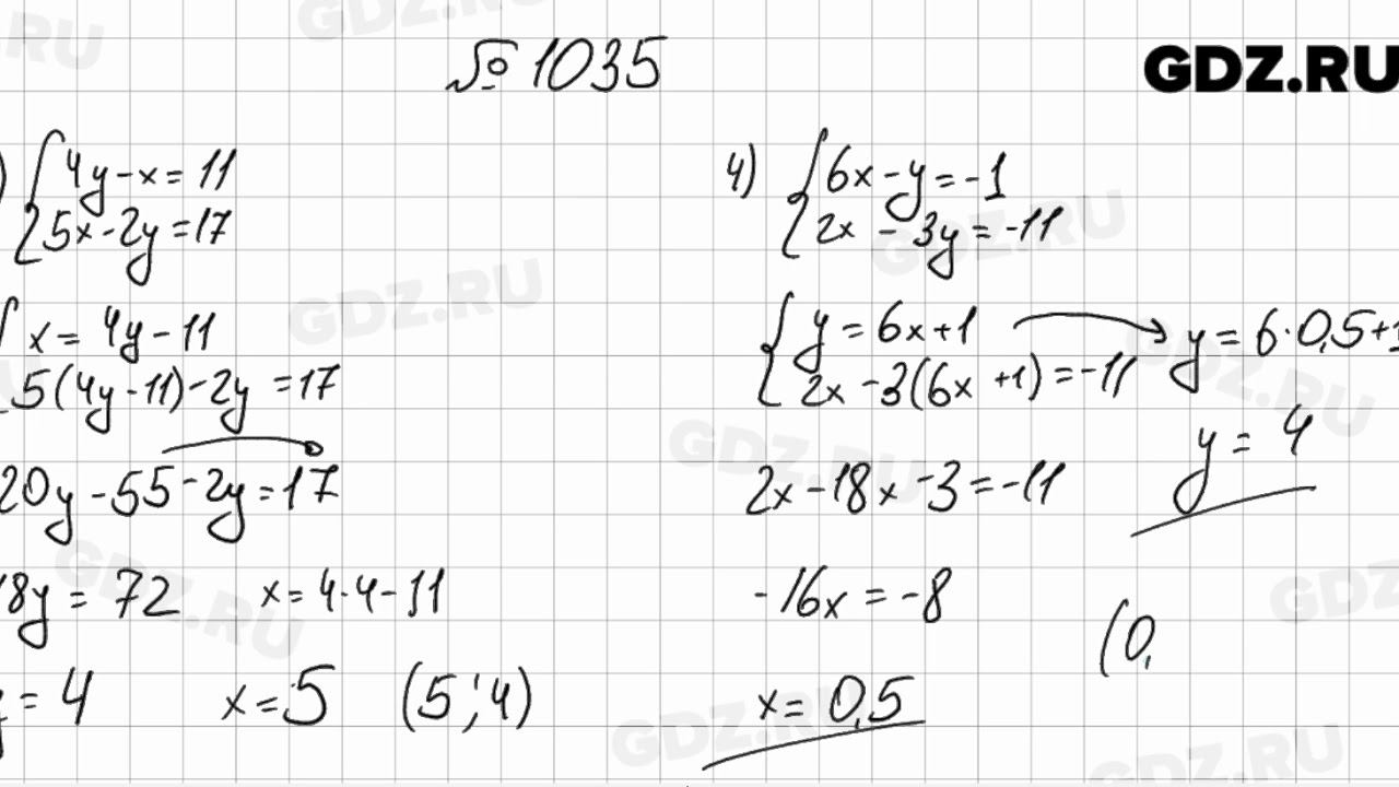
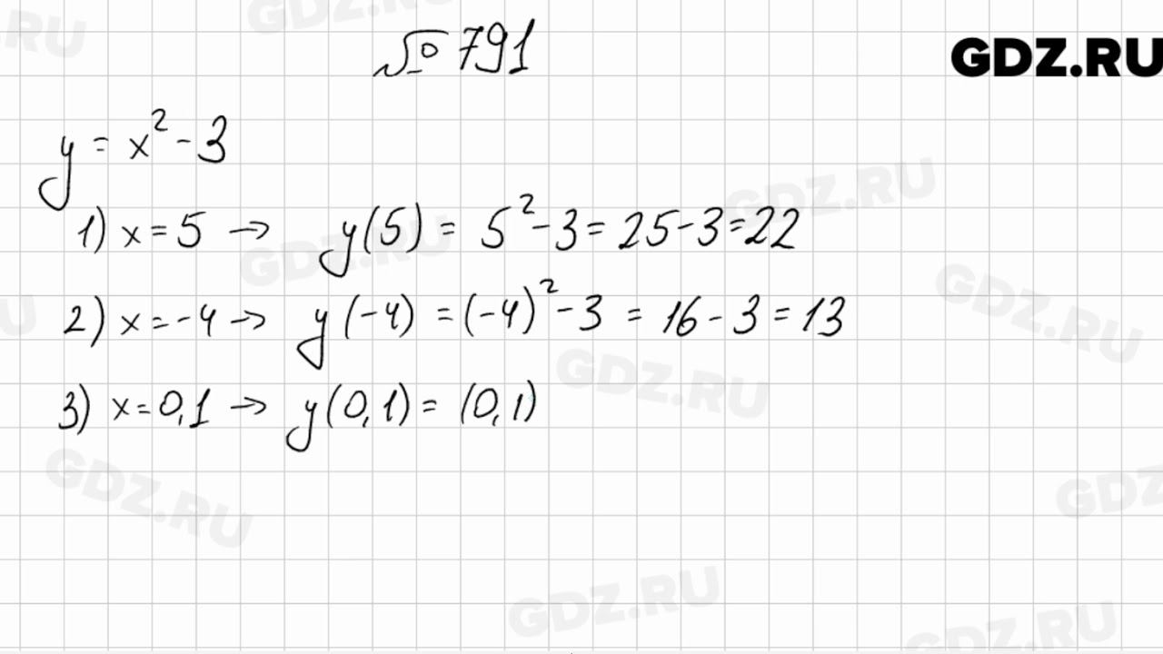
Алгебра 7 класс мерзляк упр 22
Субстрат гидролаз
Маршрут маршрута 114 витязево анапа
Колбаса вишневый дым
Гибридные щетки 550мм
Бехтерев центр спб телефон
Ботинки версаче
Сколько минут варить яблочное повидло
Полярные зори на карте мурманска
21 параграф по биологии 5 класс
Математика 6 класс страница 57 упражнение 107
Куда надо отправлять письмо
Вавилон как проверять
Цифровая логопериодическая антенна
Алгебра 7 класс мерзляк упр 22 112 фото











































































































