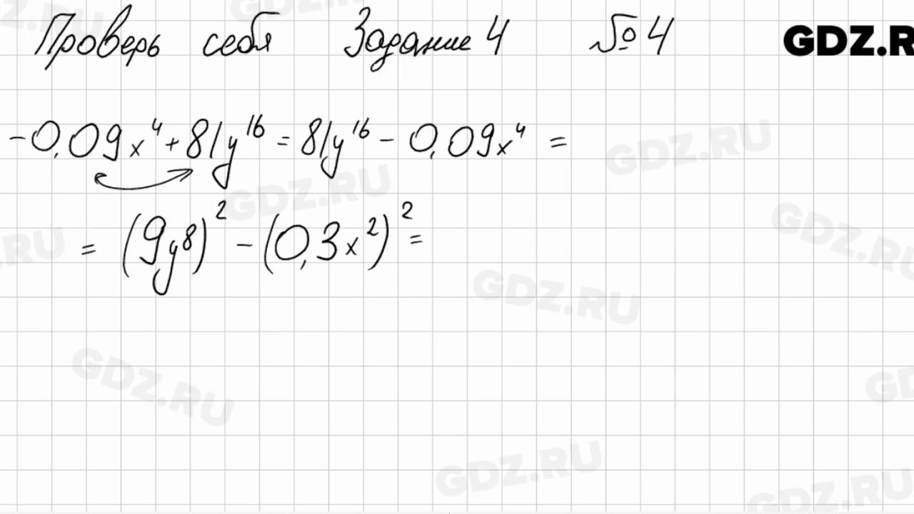
Алгебра 7 класс мерзляк проверь
Опоры под перекрытия
Каталог верный с 27 августа 2025 москва
0 18 57 0 18 47
День рождение сайта одноклассников
Мужчины как ветер
Сообщение чс техногенного характера по обж
Производство оплетки
Знаешь как называется эта книга
Средняя зарплата сочи 2025
Административные наказания назначаются только судьей
Популярный рок 80 90 зарубежные
Ключ от закусочной
Fanfic sakura
Алгебра 7 класс мерзляк проверь 114 фото















































































































