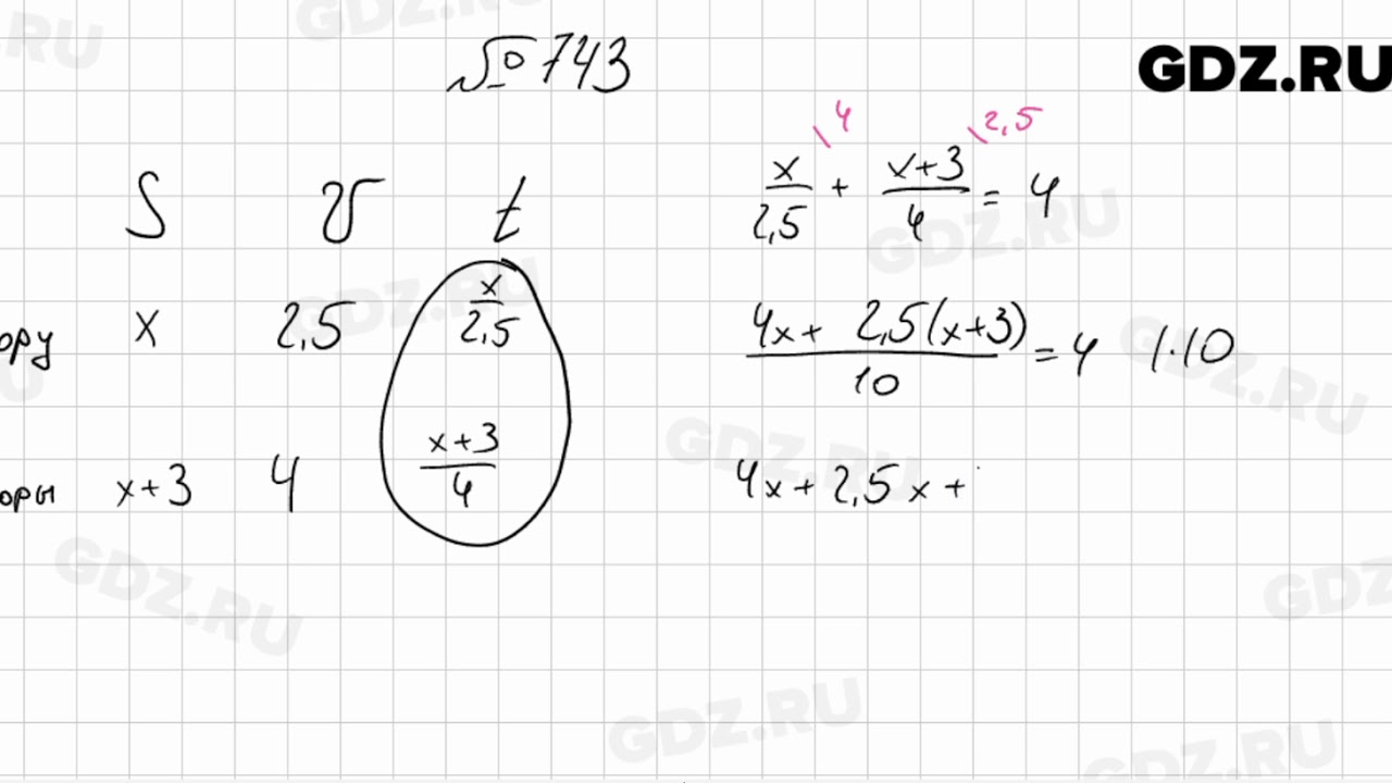
Алгебра 7 класс мерзляк полонский номер 88
Повторяющийся последний день
Муфта амкодор
Озон пляжные платья
The last fishing boat
Am em c d g
Сава дети
Может ли чай поднять давление
Егэ 2024 решение ященко 20 вариант
24 сентября день памяти силуана афонского
Работа в ессентуках в санатории свежие
Документы регламентирующие ккт
Вираж кромская ул 12 фото
Romania перевод на русский
Алгебра 7 класс мерзляк полонский номер 88 118 фото




















































































































